LEMON Manuals: Even more car manuals for everyone: 1960-2025
Home >> Mazda >> 2011 >> 6 V6-3.7L >> Repair and Diagnosis >> Body and Frame >> Locks >> Keyless Entry >> Testing and Inspection >> Programming and Relearning >> Personalization Features Setting Procedure
April 5, 2026: LEMON Manuals is launched! Read the announcement.

Personalization Features Setting Procedure




PERSONALIZATION FEATURES SETTING PROCEDURE

Advanced Keyless Entry And Push Button Start System

1. Connect the M-MDS (IDS) to the DLC-2.






2. After the vehicle is identified, select the following items from the initial screen of the M-MDS.

- When using the IDS (laptop PC)

- Select the "Module Programming"
- Select "Programmable Parameters"
- Select menu in the "RKE"

3. Select an item name, and then select option.





*1
Type 1
Drivers-side touch sensor: Unlock drivers-side door only.
Drivers-side button: 2-stage unlocking/locking all doors.
Drivers-side touch sensor and button combination: 2-stage door unlocking.
Passengers-side touch sensor: Unlocking all doors.
Passengers-side button: Locking and unlocking all doors.
*2
Type 2
Drivers-side touch sensor: Unlock drivers-side door only.
Drivers-side button: Locking doors only.
Passengers-side touch sensor: Unlocking all doors.
Passengers-side button: Locking doors only.
*3
Type 3
Drivers-side touch sensor: Unlocking all doors.
Drivers-side button: Locking all doors only.
Passengers-side touch sensor: Unlocking all doors.
Passengers-side button: Locking all doors only.
*4
Type 4
Drivers-side touch sensor: Disabled.
Drivers-side button: 2-stage unlocking/locking all doors.
Passengers-side touch sensor: Disabled.
Passengers-side button: Unlocking/locking all doors.

Keyless Entry Start System

- For the keyless entry system, refer to the control system personalization features setting. Control System Personalization Features Setting Procedure

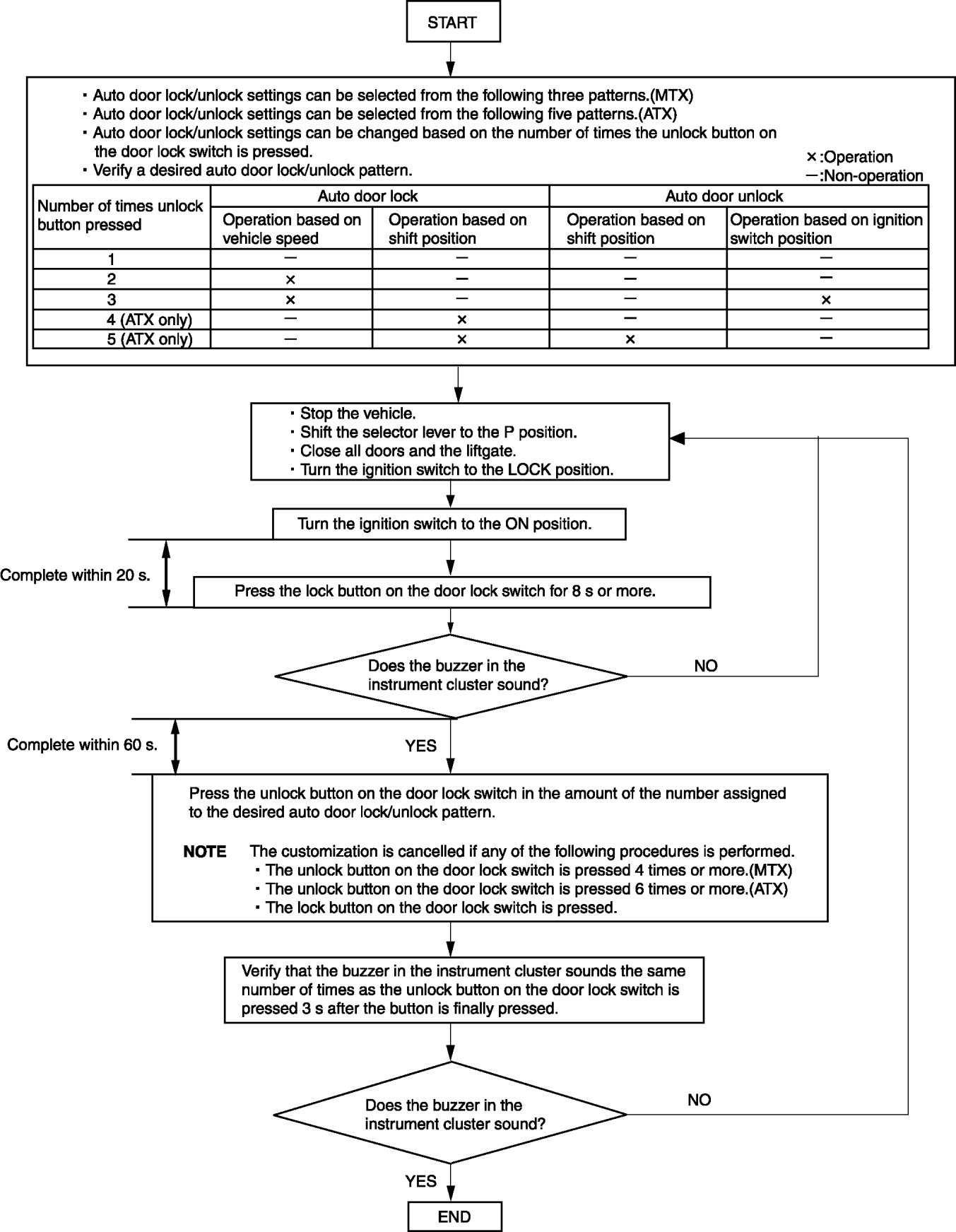
Auto Door Lock System

- The auto door lock system is controlled by the BCM.
- The following personalization settings for the auto door lock system can be performed.





Setting procedure