LEMON Manuals: Even more car manuals for everyone: 1960-2025
Home >> Mazda >> 2011 >> CX-9 AWD V6-3.7L >> Repair and Diagnosis >> Body and Frame >> Locks >> Keyless Entry >> Testing and Inspection >> Programming and Relearning >> Customized Function Setting Procedure
April 5, 2026: LEMON Manuals is launched! Read the announcement.

Customized Function Setting Procedure




CUSTOMIZED FUNCTION SETTING PROCEDURE [ADVANCED KEYLESS ENTRY AND START SYSTEM]

Advanced Keyless Entry And Start System

1. Connect the M-MDS (IDS) to the DLC-2.






2. After the vehicle is identified, select the following items from the initial screen of the M-MDS.

- When using the IDS (laptop PC)

- Select the "Module Programming"
- Select "Programmable Parameters"
- Select menu in the "RKE"

3. Select an item name, and then select option.





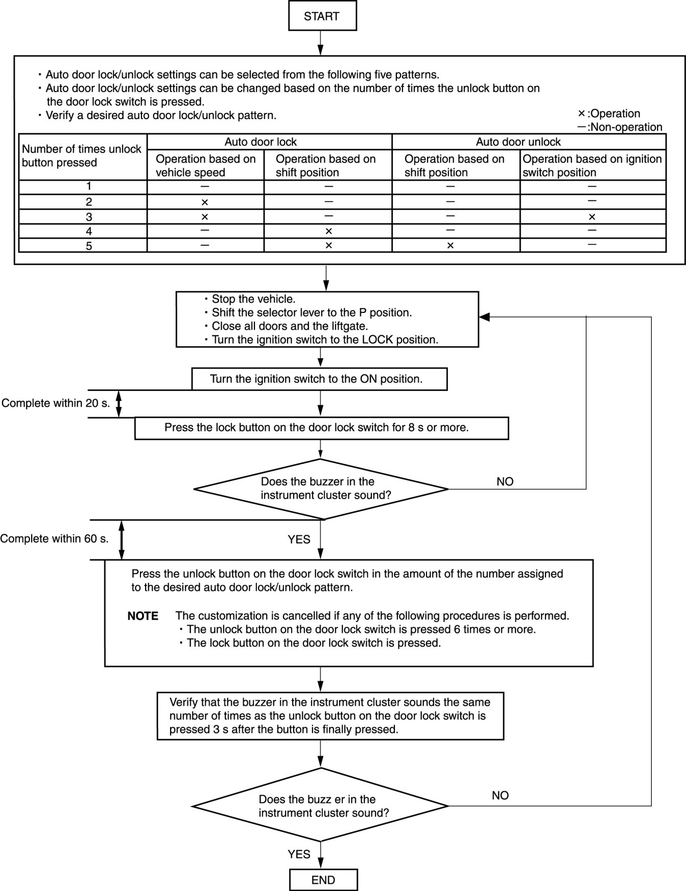
Auto Door Lock System





Setting procedure