LEMON Manuals: Even more car manuals for everyone: 1960-2025
Home >> Mazda >> 2012 >> 5 Sport, Standard Trans >> Repair and Diagnosis >> Restraints >> Air Bag, SRS >> On-Board Diagnostic [Air Bag System - Two-Step Deployment Control System) >> Foreword [Two-Step Deployment Control System] >> Troubleshooting Procedure
April 5, 2026: LEMON Manuals is launched! Read the announcement.

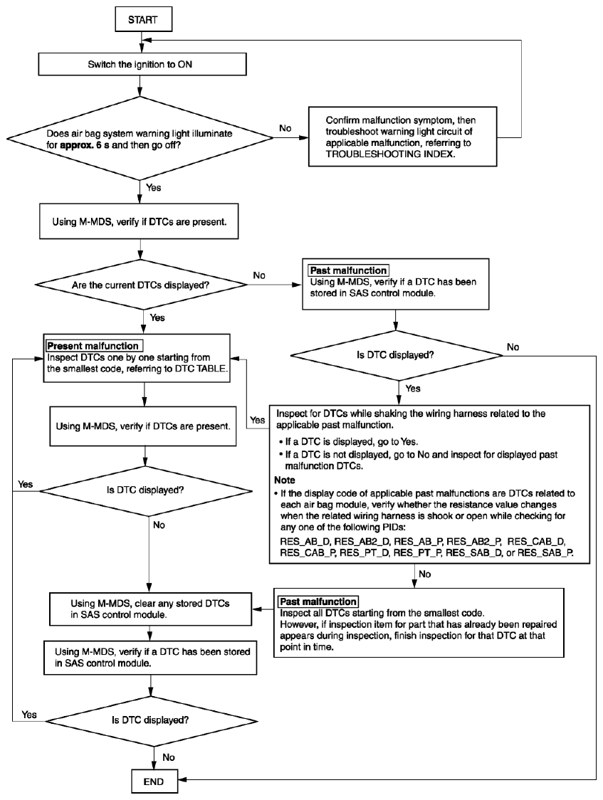
Troubleshooting Procedure

Fig 1: Troubleshooting Procedure Chart
G08152321