LEMON Manuals: Even more car manuals for everyone: 1960-2025
Home >> Mazda >> 2014 >> 3 SV, Automatic Trans >> Repair and Diagnosis >> External Pages >> Different car >> Section 68 (Lighting System) >> Lighting System Personalization Features Setting Procedure >> DRL System (Except Canada specs.)
April 5, 2026: LEMON Manuals is launched! Read the announcement.

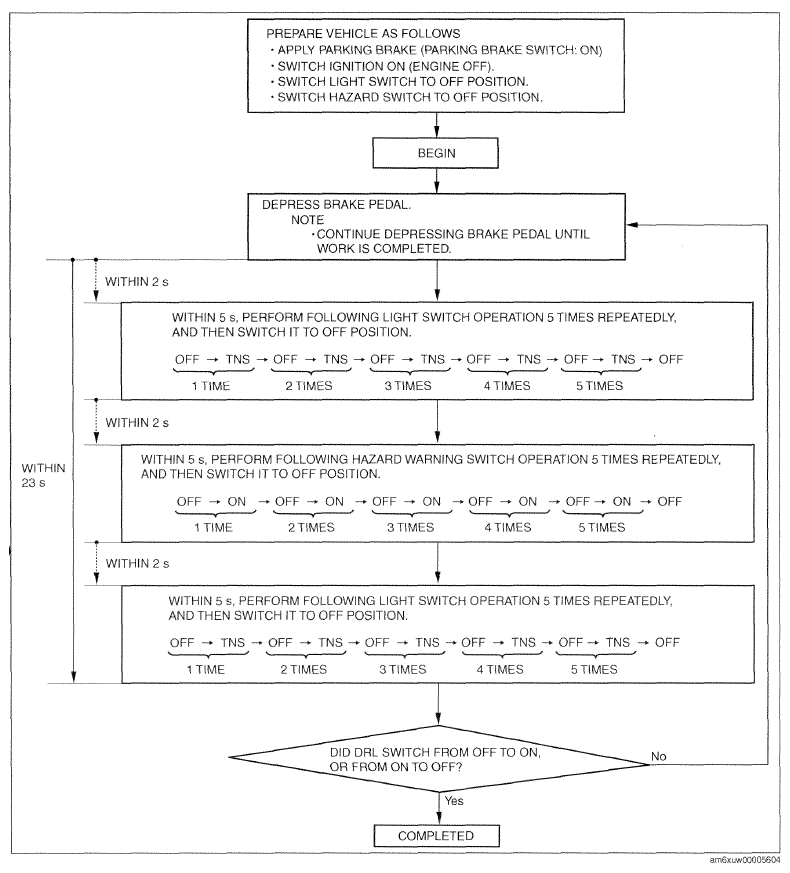
DRL System (Except Canada specs.)

WARNING: This page is about a different car, the 2014 Mazda 6. However, it is still accessible from the selected car via links, so may be relevant.
Function Initial setting Setting contents Control module
The DRL system function can be set. On (DRL illumination) Off (DRL non-illumination)/On (DRL illumination) Front body control module (FBCM)
Fig 1: DRL System Chart
G09788205Courtesy of MAZDA MOTORS CORP.