LEMON Manuals: Even more car manuals for everyone: 1960-2025
Home >> Mazda >> 2017 >> 6 Touring, Automatic Trans >> Repair and Diagnosis (Single Page) >> Accessories & Equipment >> Collision/Avoidance >> On-Board Diagnostic - Blind Spot Monitoring Control Module >> Foreword [Blind Spot Monitoring (BSM) Control Module] >> Troubleshooting Procedure
April 5, 2026: LEMON Manuals is launched! Read the announcement.

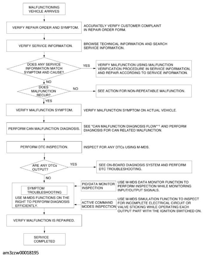
Troubleshooting Procedure

Fig 1: Foreword (Blind Spot Monitoring Control Module) - Troubleshooting Procedure Chart
G11555394Courtesy of MAZDA MOTORS CORP.

*1: (See CONTROLLER AREA NETWORK (CAN) MALFUNCTION DIAGNOSIS FLOW .)