LEMON Manuals: Even more car manuals for everyone: 1960-2025
Home >> Mazda >> 2017 >> 6 Touring, Automatic Trans >> Repair and Diagnosis (Single Page) >> Restraints >> Air Bag, SRS >> On-Board Diagnostic - Standard Deployment Control System >> Foreword [SAS Control Module (Standard Deployment Control System)] >> Troubleshooting Procedure
April 5, 2026: LEMON Manuals is launched! Read the announcement.

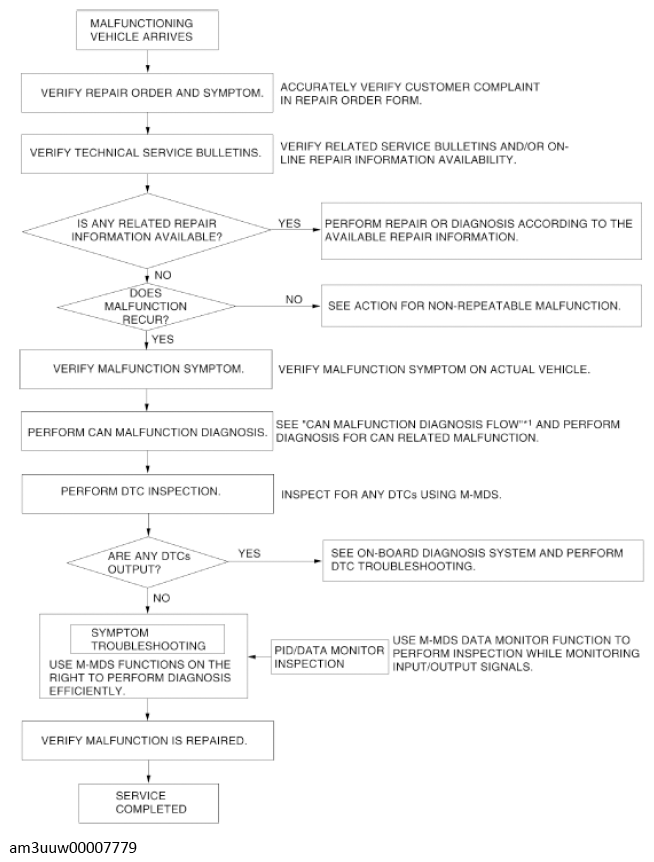
Troubleshooting Procedure

Fig 1: SAS Control Module Troubleshooting Flowchart (Standard Deployment Control System)
G11438746Courtesy of MAZDA MOTORS CORP.

*1: CONTROLLER AREA NETWORK (CAN) MALFUNCTION DIAGNOSIS FLOW.