LEMON Manuals: Even more car manuals for everyone: 1960-2025
Home >> Mazda >> 2018 >> 6 Signature >> Repair and Diagnosis (Single Page) >> Restraints >> Air Bag, SRS >> On-Board Diagnostic - Two-Step Deployment Control System >> Forward (SAS Control Module (Two-Step Deployment Control System - Us/CANADA Spec.)) >> Troubleshooting Procedure
April 5, 2026: LEMON Manuals is launched! Read the announcement.

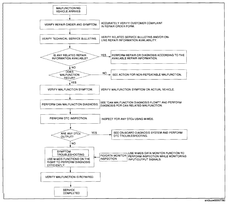
Troubleshooting Procedure

Fig 1: SAS Control Module (Two-Step Deployment Control System) Troubleshooting Chart
G09075957Courtesy of MAZDA MOTORS CORP.

*1 CONTROLLER AREA NETWORK (CAN) MALFUNCTION DIAGNOSIS FLOW [SKYACTIV-G 2.5], CONTROLLER AREA NETWORK (CAN) MALFUNCTION DIAGNOSIS FLOW [SKYACTIV-G 2.5T].