LEMON Manuals: Even more car manuals for everyone: 1960-2025
Home >> Mazda >> 2018 >> CX-3 Touring, AWD >> Repair and Diagnosis >> External Pages >> Different car >> Section 249 (On-Board Diagnostic - 360 Degrees View Monitor Control Module) >> Foreword (360°View Monitor Control Module) >> Troubleshooting Procedure
April 5, 2026: LEMON Manuals is launched! Read the announcement.

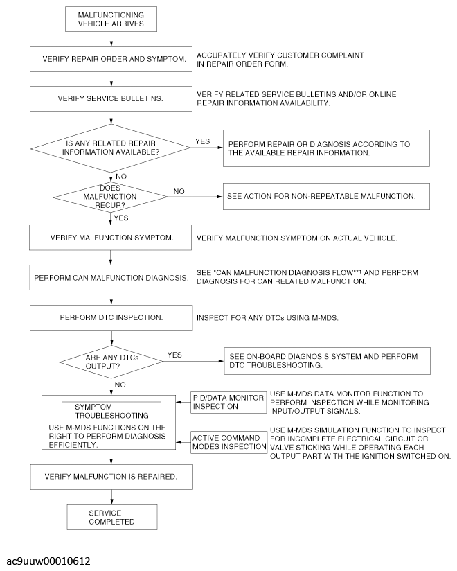
Troubleshooting Procedure

WARNING: This page is about a different car, the 2018 Mazda CX-9. However, it is still accessible from the selected car via links, so may be relevant.
Fig 1: Vehicle Malfunction Complaint Lodged By Customer Troubleshooting Procedure Chart
G12265185Courtesy of MAZDA MOTORS CORP.

*1:(See CONTROLLER AREA NETWORK (CAN) MALFUNCTION DIAGNOSIS FLOW .)