LEMON Manuals: Even more car manuals for everyone: 1960-2025
Home >> Mazda >> 2018 >> CX-5 Touring, AWD >> Repair and Diagnosis >> Engine Performance >> System >> Symptom Troubleshooting - Engine Control >> Foreword >> Troubleshooting Procedure
April 5, 2026: LEMON Manuals is launched! Read the announcement.

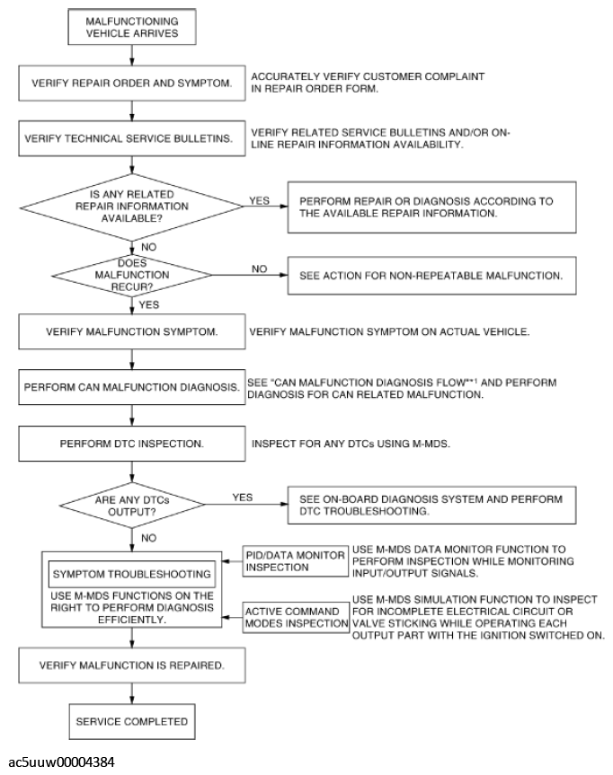
Troubleshooting Procedure

Fig 1: Foreword Troubleshooting Procedure Flowchart
G11430173Courtesy of MAZDA MOTORS CORP.

*1: (See CONTROLLER AREA NETWORK (CAN) MALFUNCTION DIAGNOSIS FLOW [SKYACTIV-G 2.0, SKYACTIV-G 2.5] .)