LEMON Manuals: Even more car manuals for everyone: 1960-2025
Home >> Mazda >> 2018 >> CX-9 Signature >> Repair and Diagnosis (Single Page) >> Accessories & Equipment >> Drivers Assistance Systems - ADAS >> On-Board Diagnostic - Blind Spot Monitoring Control Module >> Foreword (Blind Spot Monitoring (BSM) Control Module) >> Troubleshooting Procedure
April 5, 2026: LEMON Manuals is launched! Read the announcement.

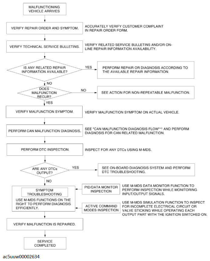
Troubleshooting Procedure

Fig 1: Electric Parking Brake Troubleshooting Flowchart
G11433170Courtesy of MAZDA MOTORS CORP.

*1:(See CONTROLLER AREA NETWORK (CAN) MALFUNCTION DIAGNOSIS FLOW .)