LEMON Manuals: Even more car manuals for everyone: 1960-2025
Home >> Mazda >> 2021 >> CX-3 AWD >> Repair and Diagnosis >> Accessories & Equipment >> Memory Modules >> On-Board Diagnostic - Position Memory Control Module >> Foreword >> Troubleshooting Procedure
April 5, 2026: LEMON Manuals is launched! Read the announcement.

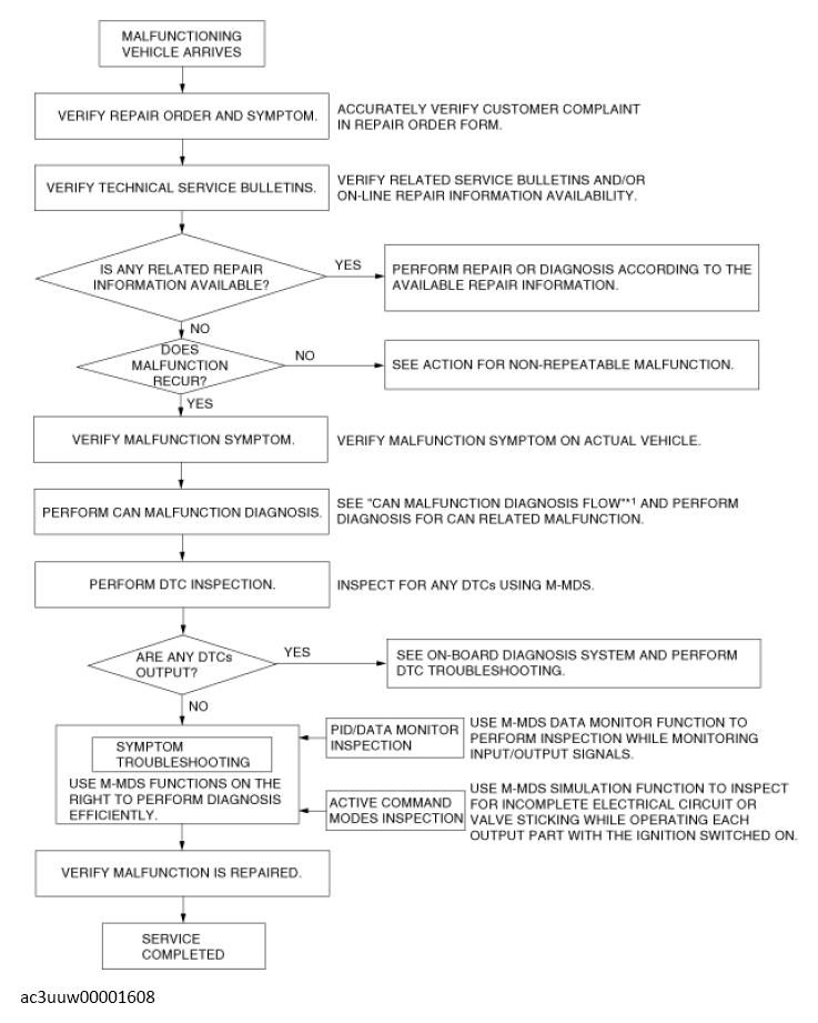
Troubleshooting Procedure

G13151736Courtesy of MAZDA MOTORS CORP.

*1: (See CONTROLLER AREA NETWORK (CAN) MALFUNCTION DIAGNOSIS FLOW .)