LEMON Manuals: Even more car manuals for everyone: 1960-2025
Home >> Nissan-Datsun >> 2002 >> Sentra SE-R L4-2.5L (QR25DE) >> Repair and Diagnosis >> Powertrain Management >> Computers and Control Systems >> Relays and Modules - Computers and Control Systems >> Engine Control Module >> Technical Service Bulletins >> Customer Interest >> Engine Controls - Hard/No Start/Rough Idle When Freezing
April 5, 2026: LEMON Manuals is launched! Read the announcement.

Engine Controls - Hard/No Start/Rough Idle When Freezing

Classification:
ECO2-023

Reference:
NTB02-113

Date:
October 29, 2002

HARD/NO START/FLUCTUATING/ROUGH IDLE AT TEMPERATURES BELOW FREEZING

APPLIED VEHICLES:
2002 Sentra (B15) -"SE-R" and "SE-R Spec V"
2002 Altima (L31).- "2.5", "2.5S", and "2.5SL"





APPLIED VINS:
See "Table 1"

APPLIED DATES:
See "Table 1"

APPLIED ENGINE:
QR25DE (2.5 liter) ONLY

SERVICE INFORMATION

If an applied vehicle has the following symptoms during temperatures below freezing (below 32°F/0°C):

^ Engine cranks but is hard to start

^ Engine starts but has "fluctuating"/rough idle (400 - 600 RPM)

^ Engine will not maintain idle after starting (doesn't recover from low idle)

^ Engine starts but has a "ringing" noise (throttle valve hits stop)

^ Engine will not start at all

Refer to the Service Procedure to resolve this incident, if it should occur.

NOTE:
If the above symptoms do occur when the vehicle is warmed up (not cold), this bulletin does not apply.

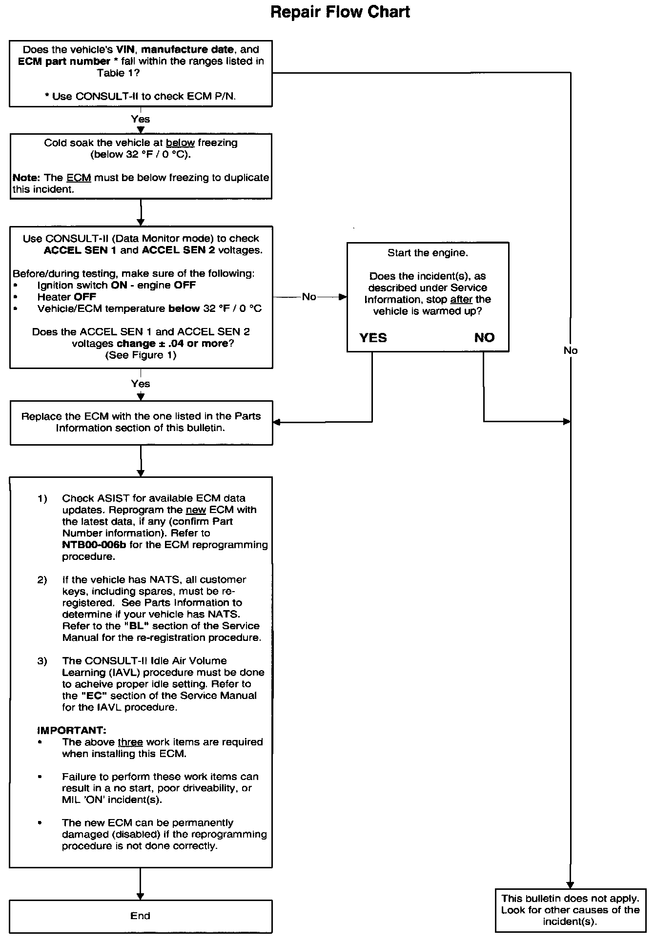
SERVICE PROCEDURE








Refer to the Repair Flow Chart to properly diagnose and repair the incident(s), if it should occur.





PARTS INFORMATION

CLAIMS INFORMATION





Submit a Primary Failed Part(PP) line claim using the claims coding table shown.