LEMON Manuals: Even more car manuals for everyone: 1960-2025
Home >> Nissan-Datsun >> 2004 >> Sentra SE-R >> Repair and Diagnosis >> External Pages >> Different car >> Section 1110 (Engine Control System) >> Index For DTC >> Alphabetical Index
April 5, 2026: LEMON Manuals is launched! Read the announcement.

Alphabetical Index

WARNING: This page is about a different car, the 2004 Nissan Murano. However, it is still accessible from the selected car via links, so may be relevant.
NOTE: If DTC U1000 or U1001 is displayed with other DTC, first perform the trouble diagnosis for DTC U1000, U1001. Refer to "DTC U1000, U1001 CAN COMMUNICATION LINE ".
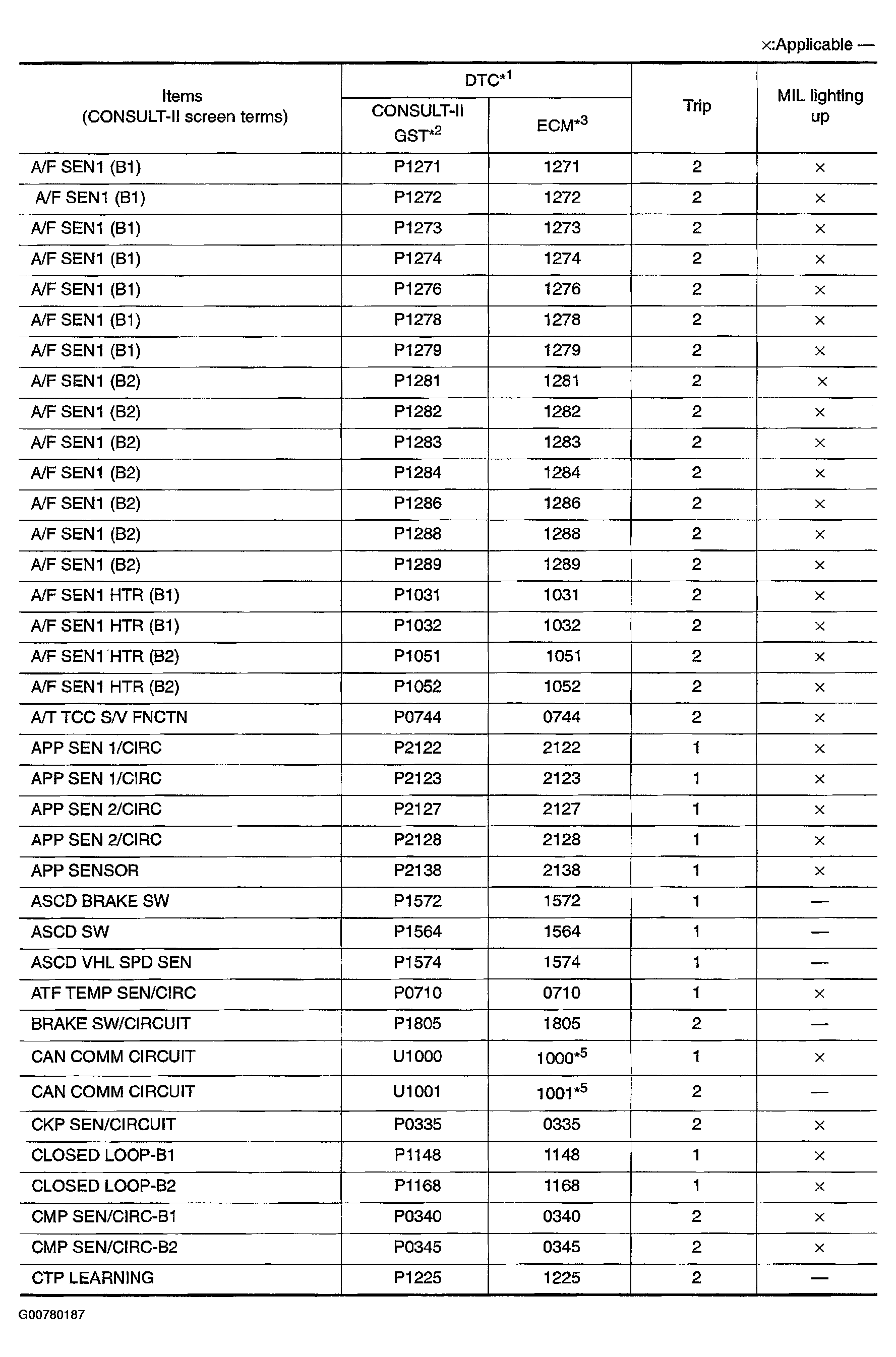
Fig 1: DTC Alphabetical Index (1 Of 4)
G00780187Courtesy of NISSAN MOTOR CO., U.S.A.
Fig 2: DTC Alphabetical Index (2 Of 4)
G00780188Courtesy of NISSAN MOTOR CO., U.S.A.
Fig 3: DTC Alphabetical Index (3 Of 4)
G00780189Courtesy of NISSAN MOTOR CO., U.S.A.
Fig 4: DTC Alphabetical Index (4 Of 4)
G00780190Courtesy of NISSAN MOTOR CO., U.S.A.