LEMON Manuals: Even more car manuals for everyone: 1960-2025
Home >> Pontiac >> 1992 >> LeMans VL >> Repair and Diagnosis >> Engine Performance >> System >> Engine Controls - Tests W/Codes >> Code Charts >> Code 32, EGR System Error >> Diagnostic Aids
April 5, 2026: LEMON Manuals is launched! Read the announcement.

Diagnostic Aids

The Code 32 diagnostic flow chart is a functional check of the EGR system. If the EGR system is working correctly, but a Code 32 has been set, check the following items affecting ECM block learn values.

Fig 1: Code 32 Diagram - EGR System Error
G91C06710Courtesy of GENERAL MOTORS CORP.
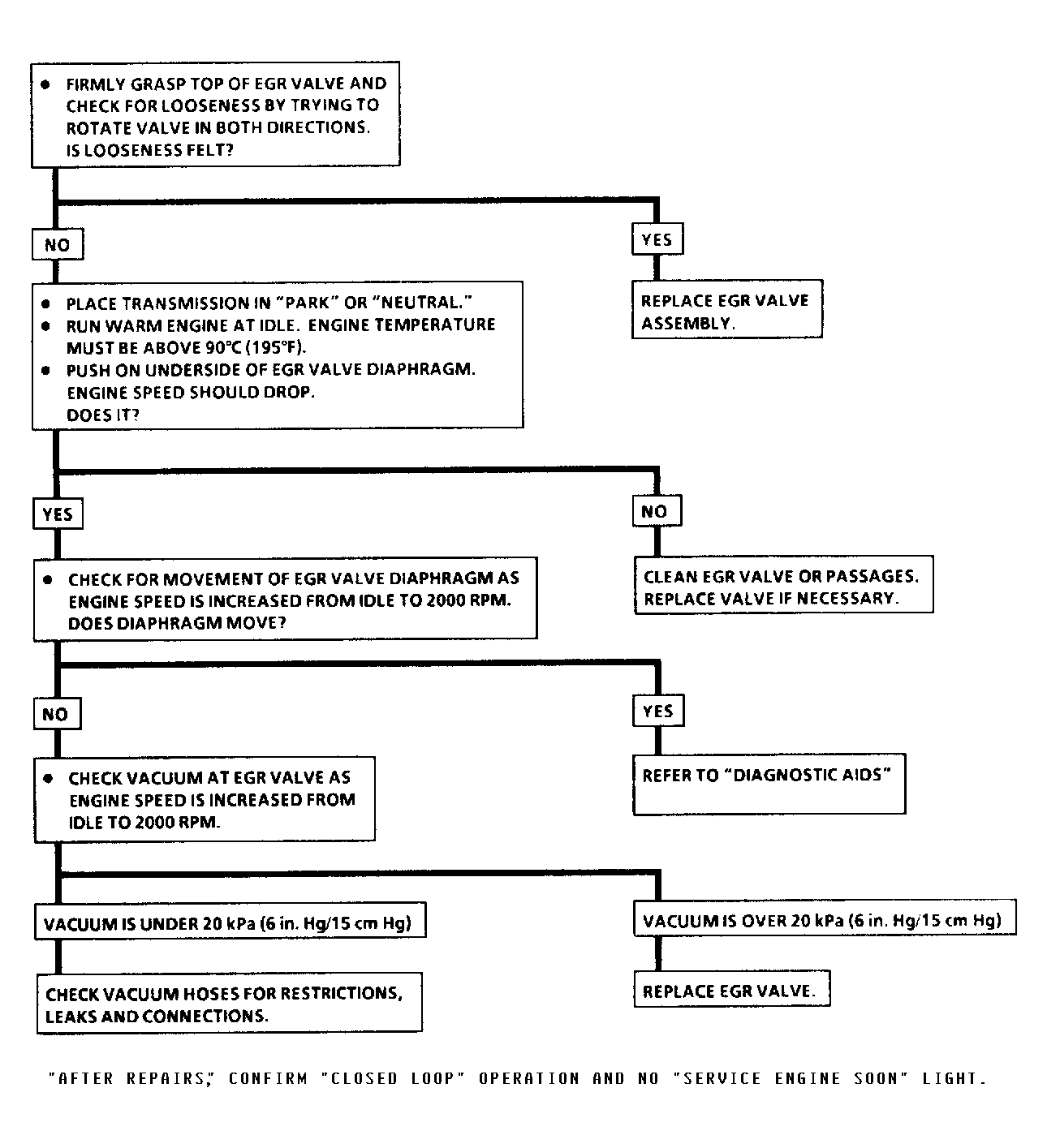
Fig 2: Code 32 Flow Chart - EGR System Error
G91E06711Courtesy of GENERAL MOTORS CORP.