LEMON Manuals: Even more car manuals for everyone: 1960-2025
Home >> Pontiac >> 2003 >> Grand AM L4-2.2L VIN F >> Repair and Diagnosis >> Specifications >> Mechanical Specifications >> Engine >> Cylinder Block Assembly >> System Specifications >> Thread Repair Specifications >> Cylinder Head-Top View
April 5, 2026: LEMON Manuals is launched! Read the announcement.

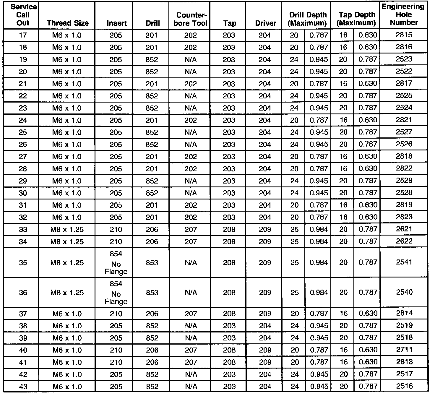
Cylinder Head-Top View

Cylinder Head-Top View





Part 1 of 3





Part 2 of 3





Part 3 of 3