LEMON Manuals: Even more car manuals for everyone: 1960-2025
Home >> Pontiac >> 2008 >> Torrent AWD V6-3.4L >> Repair and Diagnosis >> Specifications >> Electrical Specifications >> Coolant Temperature Sensor/Switch (For Computer)
April 5, 2026: LEMON Manuals is launched! Read the announcement.

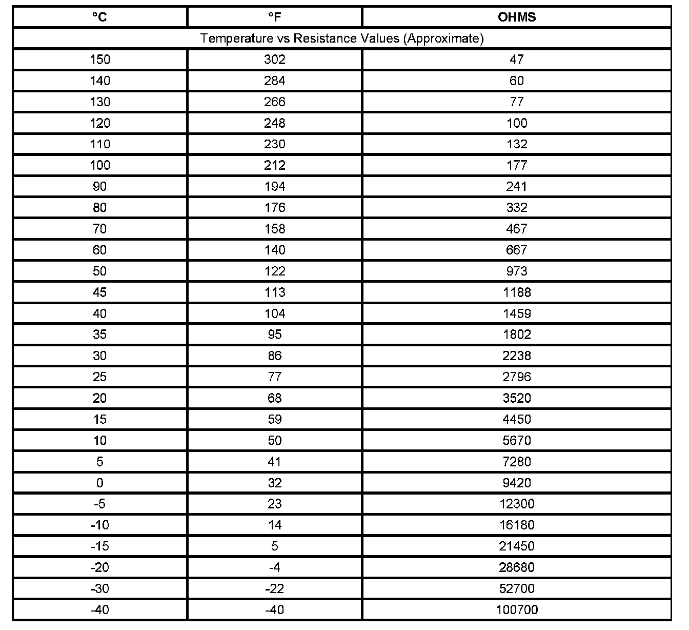
Coolant Temperature Sensor/Switch (For Computer)



Temperature Versus Resistance