LEMON Manuals: Even more car manuals for everyone: 1960-2025
Home >> Pontiac >> 2009 >> G5 L4-2.2L >> Repair and Diagnosis >> Powertrain Management >> Computers and Control Systems >> Specifications >> Temperature Versus Resistance
April 5, 2026: LEMON Manuals is launched! Read the announcement.

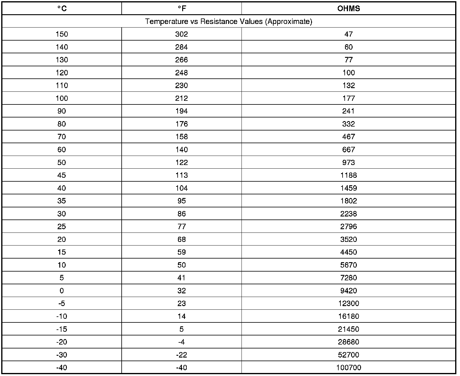
Temperature Versus Resistance




Temperature Versus Resistance