LEMON Manuals: Even more car manuals for everyone: 1960-2025
Home >> Saturn >> 2001 >> L100 L4-2.2L VIN F >> Repair and Diagnosis >> Testing and Inspection >> Programming and Relearning >> PASSLOCK - Security System Relearn Procedure
April 5, 2026: LEMON Manuals is launched! Read the announcement.

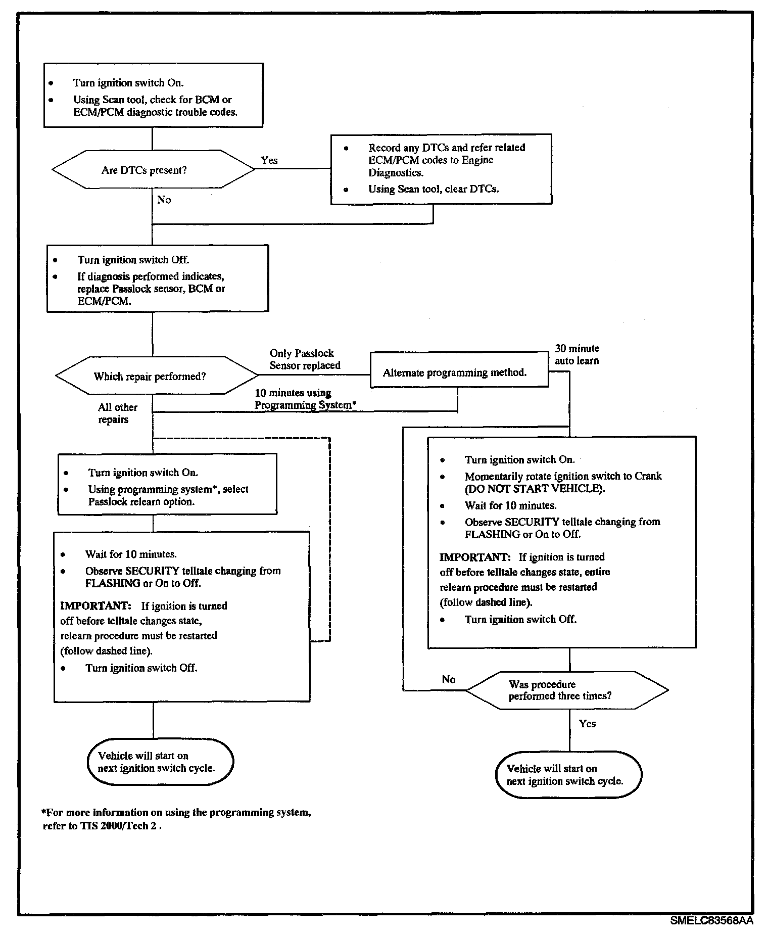
PASSLOCK - Security System Relearn Procedure

Diagnostic Chart: