LEMON Manuals: Even more car manuals for everyone: 1960-2025
Home >> Saturn >> 2005 >> RELAY AWD V6-3.5L VIN 8 >> Repair and Diagnosis >> Specifications >> Mechanical Specifications >> Automatic Transmission/Transaxle >> System Specifications >> Overhaul (Unit Repair) >> Transfer Case Selective Washer Specifications
April 5, 2026: LEMON Manuals is launched! Read the announcement.

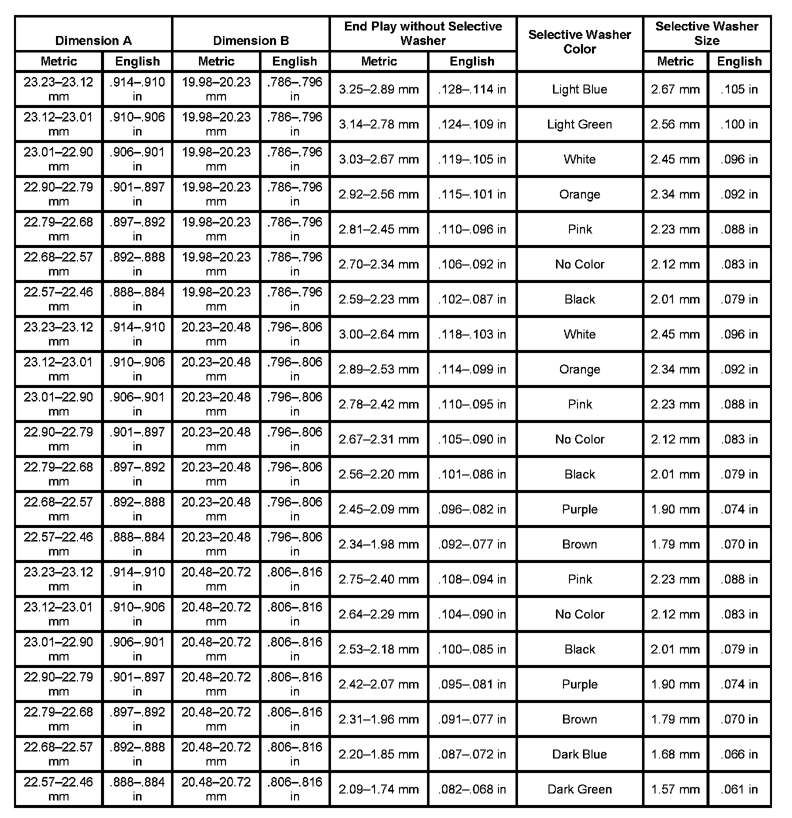
Transfer Case Selective Washer Specifications



Transfer Case Selective Washer Specifications:





Transfer Case Selective Washer Specifications