LEMON Manuals: Even more car manuals for everyone: 1960-2025
Home >> Subaru >> 2000 >> Outback Base, Automatic >> Repair and Diagnosis >> Quick Lookups >> Technical Bulletins >> Tech Tips >> Procedures >> Tech Tips (TIPS_SE_AC)
April 5, 2026: LEMON Manuals is launched! Read the announcement.

Tech Tips (TIPS_SE_AC)

Publication date: 2020-06-01
Reference number: TIPS_SE_AC

TECH TIPS

TECH TIPS

TECHNICAL INFORMATION TIPS

Reference Number(s): TIPS_SE_AC, Date of Issue:  June 01, 2020
SUBARU: All Models

SECTION 609 TECHNICIAN TRAINING AND CERTIFICATION

Spring is in the air which means Air Conditioning season is upon us again. Will you be ready to perform A/C system repairs both technically and with the proper A/C Refrigerant Recovery & Recycling certification? If not, you may be in violation of Section 609 of the Clean Air Act which requires that auto Technicians who perform A/C repairs and operate refrigerant handling equipment be EPA certified. The information below is directly from the United States Environmental Protection Agency website.

'Any person who repairs or services a motor vehicle air conditioning (MVAC) system for consideration (payment or bartering) must be properly trained and certified under section 609 of the Clean Air Act by an EPA-approved program. All Technicians servicing MVAC-like appliances must be certified.

EPA-approved Technician training and certification (TT&C) programs provide education on the proper use of MVAC servicing equipment, the applicable regulatory requirements, the importance of refrigerant recovery, as well as the effects of improper handling of refrigerants on the ozone layer and climate. To be certified, Technicians must/be trained by an EPA-approved program and pass a test demonstrating their knowledge in these areas."

ASE provides convenient online certification that can link to your SKILS profile at https://www.asecampus.com  . At the time of publishing the cost is $19.

G13082207

IS THAT NORMAL? A/C PERFORMANCE TESTING

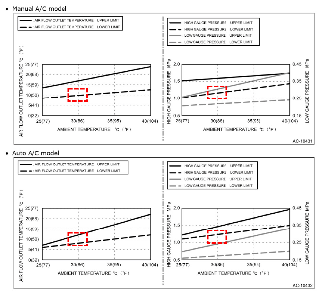
As the weather gets warmer, Technicians are inevitably presented with concerns of poor A/C performance. The first step in any diagnosis is confirming the concern, then determining if it is abnormal for the vehicle in question. It's easy to think all Subaru A/C systems should perform the same, but that simply isn't true. Subaru vehicles feature different compressor types, varying evaporator and condenser sizes, and different A/C management systems to name a few. Considering these variables, referencing the Service Manual is the best way for a Technician to evaluate A/C performance. The example below shows the expected performance for 2018 Impreza A/C on both manual and automatic systems.

G13082208

The above charts clearly show an expected temperature and pressure difference between the manual and automatic system. Performance testing procedures are found in the Service Manual for each model in Heater & Air Conditioner/Ventilator > Air Conditioner > Refrigerant Pressure with Manifold Gauge Set > Procedure.

When a vehicle has concern of poor A/C performance and is found to be performing to specification, a QMR should be submitted so we can better understand customer expectations.

WHAT'S NEXT? WHERE TO START DIAGNOSIS WHEN THE A/C IS UNDER PERFORMING

After confirming the A/C is under performing, the Technician should perform a thorough visual inspection. Often, a failure is found during the visual inspection. When performing a visual inspection, check all lines, hoses, connections, crimps, condenser, etc. for obvious signs of leaks. Oil or dirt build up at a connection that is otherwise clean may be an indication of a leak. Visually inspect all harness connections to ensure they are fully engaged and inspect the related harnesses themselves for damage. Verify the drive belt is in good condition and has proper tension.

With the engine running and A/C on, take inventory of system operation. Are the radiator fans on and pulling air in the correct direction? Is the compressor clutch (if fitted) cycling at normal intervals? Does the compressor suction line get cooler and the discharge line get hotter? If the system appears to be operating, is there any change in duct outlet temp?

Check for diagnostic trouble codes or perform a diagnosis self-test. Modern climate control systems provide DTC and PID data, accessed using SSM. For models where SSM communication is not supported, the Service Manual provides self-diagnosis procedures found in HVAC SYSTEM (AUTO A/C) (DIAGNOSTICS) > Diagnostic Chart for Self-Diagnosis  . When PID data is available, Technicians should compare the PID data to actual measurements whenever possible. For example: Does the ambient temp sensor read properly? Do the A/C pressure sensor readings match manifold gauges? Does anything look abnormal as compared to the Service Manual?

NOTE: DTC B14A1 (Sun Load sensor) will almost always be present when checking for DTCs indoors. The Service Manual contains reference readings and ranges found in AIR CONDITIONER(DIAGNOSTICS) > Data Monitor  . When setting the desired temperature to the highest or lowest SSM may display a temperature request that seem invalid but is not.

The image below shows normal ranges a Technician will see using SSM when the desired temperature is set to HI or LO on 2019 MY Ascent.

Blower outlet request temperature (Driver's) Display the inner set value of the A/C control panel. -327.68 - 327.67°C
Blower outlet request temperature (Passenger's) Display the inner set value of the A/C control panel. -327.68 - 327.67°C

Air conditioning systems do not always set diagnostic trouble codes. Without DTCs, it may be necessary to use the Diagnostics with Phenomenon section of the Service Manual to accurately diagnose a customer's concern. This can be found on STIS, DIAGNOSTICS > HVAC SYSTEM (DIAGNOSTICS) > Diagnostics with Phenomenon  . This section can also be found in several other vehicle system sections including EyeSight, Body Control, Power Seat Memory, etc.

When diagnostics are difficult and Techline assistance is required, a set of Techline Pre-Call Worksheets for HVAC, Electrical, Transmission, etc. are provided on Subarunet > Service Operations & Technical > Techline Pre-call Worksheets  and should be completed before calling.

AIR CONDITIONING LEAK DIAGNOSIS

With today's modern refrigerants, we would also like to remind all Technicians the use of dyes in Subaru air conditioning systems is strictly forbidden. The proper use of a recently calibrated refrigerant sniffing/leak detection tool is the most effective method for finding leaks.

The following is from Subaru Policies & Procedures section 8.4.5 Air Conditioning: "The use of dye to diagnose an air conditioning refrigerant leak is not an approved Subaru of America diagnostic procedure."

All retailers are required to have leak detectors for R134a/R12 meeting SAE J1771 standards. Also, a HO-1234YF leak detector is required, Robinair model 22791 is recommended.

When using a leak detector, airflow in the testing area should be minimized. The sampling end of the tester should be moved along all sides of component being inspected. When looking for a high side leak, the A/C should be on as the higher pressure may make the leak easier to detect. However, when looking for a low side leak, the A/C should be off since low side A/C pressures are higher with the system static.

G13082209

PHEV A/C PRECAUTIONS

The HVAC system used on the 2019 Crosstrek Hybrid is completely re-designed and unlike any system Subaru used on previous vehicles. This system uses a high voltage A/C compressor in place of a mechanical A/C compressor. This system uses R-134a refrigerant. A unique refrigerant oil (ND-Oil11) is used in this system. It is an electrically non-conductive oil equivalent to POE oil. For this reason, a dedicated A/C recovery machine must be used to avoid refrigerant oil contamination. If the oil is contaminated with an electrically conductive oil, the hybrid system may set a loss of electrical isolation code causing it to shut down. Additional information can be found in 2019 Crosstrek Hybrid New Technology Training Technician Reference Booklet.

Retailers, especially multi-brand retailers, may have equipment designed to self-flush its internal components and hoses to prevent oil contamination. This flush process can take thirty minutes or longer. Always follow the equipment manufacturers guidelines when performing the self-flush procedure.

G13082210

When oil needs to be added, a manual oil injector (pictured at left) should be used. Remember, only use the specified ND-Oil 11 in the 2019 Crosstrek Hybrid. Never use an automatic oil injector included on some A/C machines.

G13082211

A/C SYSTEM OIL REQUIREMENTS

Air conditioning compressors require lubrication to their moving parts just like an engine. The use of the correct oil type and viscosity is very important. Always refer to the Service Manual for the correct oil type and viscosity. Any oil not available through normal parts channels should be locally sourced.

When replacing the compressor, evaporator, or condenser, some oil will be trapped in the original component. Oil will need to be added to the system when replacing these components. The industry standard for oil to add to the replacement component depends on which component is being replaced. Modern condensers require two ounces, evaporators require two to three ounces, hoses and lines need only one or two ounces of oil. When replacing the compressor, drain the old oil out of the original compressor and add the same amount to the replacement compressor.

Before removing a component other than the compressor, the following procedure should be followed:

  1. Increase the engine to 1, 500 rpm. 
  2. Turn the A/C switch to ON. 
  3. Turn the temperature control dial to MAX COOL position. 
  4. Turn the FRESH/RECIRC switch to RECIRC position. 
  5. Turn the fan speed control dial or switch to HI (MAX) position. 
  6. Leave the system in this condition for 10 minutes. 

This will return MOST of the oil back to the compressor.

During evacuation, oil may be recovered with the refrigerant. Always check the oil collection bottle before and after system evacuation to ensure no oil is lost. Be sure to add the amount of oil evacuated plus the additional oil recommended for the replacement component.

When the air conditioning system has been exposed to the atmosphere for an extended period, the remaining oil in the system will absorb water. The oil and water cannot be separated; the system will require flushing of the refrigerant and oil.

FORESTER SYNC OPERATION

The Passenger Link system introduced in the 2019 Forester allows the detection of people occupying the passenger front seat and rear seats. The HVAC control module detects occupants using the passenger Occupant Detection System and the rear door switch operation history. The system automatically switches OFF passenger side settings (set temperature) and engages the SYNC setting when there is no passenger detected in the passenger front seat. The system requires no driver input to change passenger settings improving convenience for the driver efficiency.

G13082212