LEMON Manuals: Even more car manuals for everyone: 1960-2025
Home >> Suzuki >> 2007 >> SX4 4WD L4-2.0L >> Repair and Diagnosis >> Powertrain Management >> Computers and Control Systems >> Testing and Inspection >> Mode 6 Data
April 5, 2026: LEMON Manuals is launched! Read the announcement.

Mode 6 Data

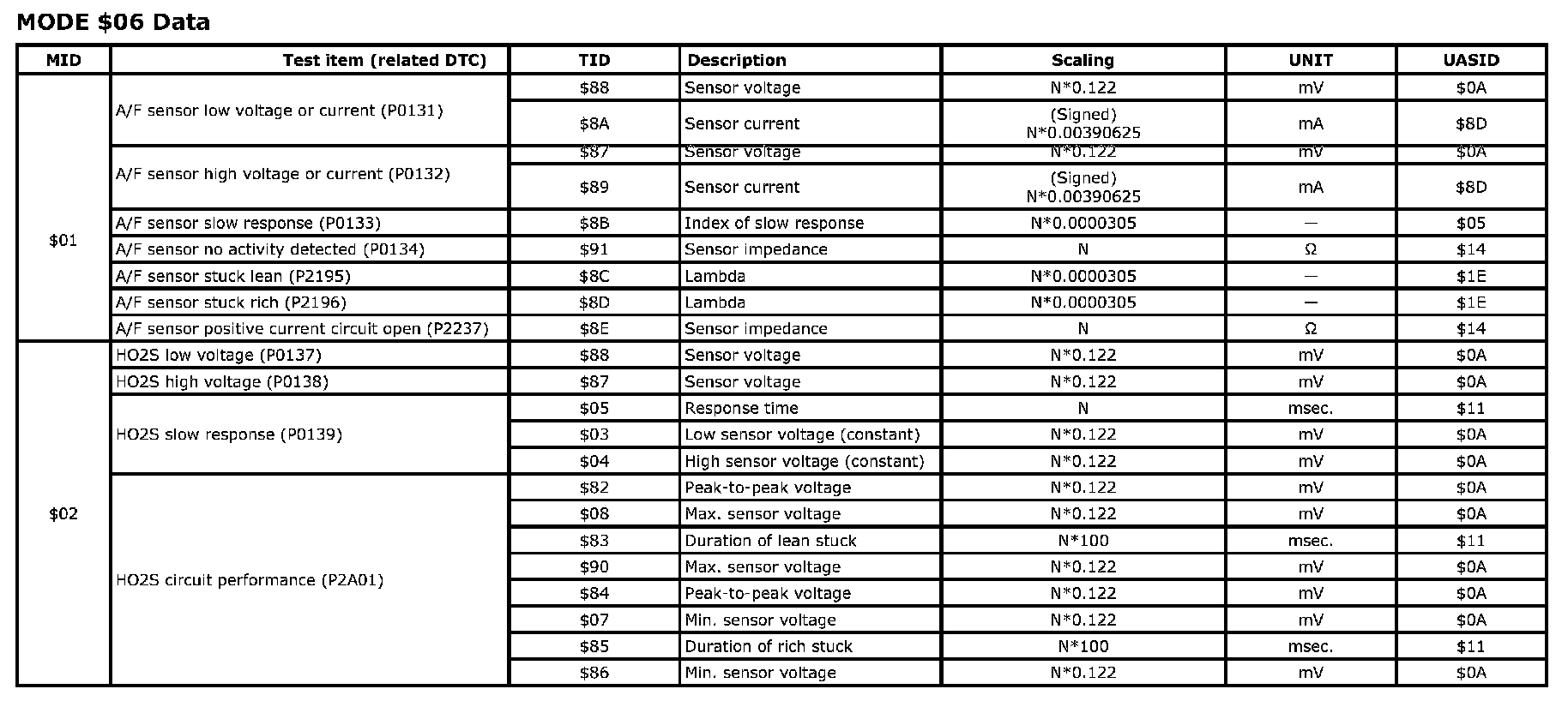
Mode $06 Data:



Mode $06 Data:



Mode $06 Data:



Mode $06 Data:



Mode $06 Data: