LEMON Manuals: Even more car manuals for everyone: 1960-2025
Home >> Suzuki >> 2009 >> Equator 2WD L4-2.5L >> Repair and Diagnosis >> Starting and Charging >> Power and Ground Distribution >> Relays and Modules - Power and Ground Distribution >> Power Distribution Module >> Testing and Inspection >> Initial Inspection and Diagnostic Overview >> Diagnosis and Repair Work Flow
April 5, 2026: LEMON Manuals is launched! Read the announcement.

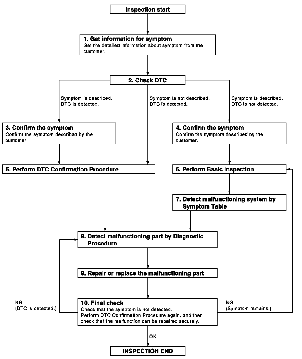
Diagnosis and Repair Work Flow

Diagnosis and Repair Work Flow

OVERALL SEQUENCE

Diagnosis and Repair Workflow:






DETAILED FLOW

Step 1-5:




Step 6-10: