LEMON Manuals: Even more car manuals for everyone: 1960-2025
Home >> Suzuki >> 2011 >> Equator 2WD V6-4.0L >> Repair and Diagnosis >> Specifications >> Mechanical Specifications >> Engine >> System Specifications
April 5, 2026: LEMON Manuals is launched! Read the announcement.

System Specifications




Service Data and Specifications

General Specifications






Drive Belt






Intake Manifold Collector, Intake Manifold and Exhaust Manifold

Unit: mm (in)






Spark Plug





*: Always check with the Parts Department for the latest parts information

Camshaft and Camshaft Bearing

Unit: mm (in)






*1: Total indicator reading

Valve Seal

Unit: mm (in)






Valve Lifter

Unit: mm (in)






Valve Clearance

Unit: mm (in)






*: Approximately 80°C (176°F)

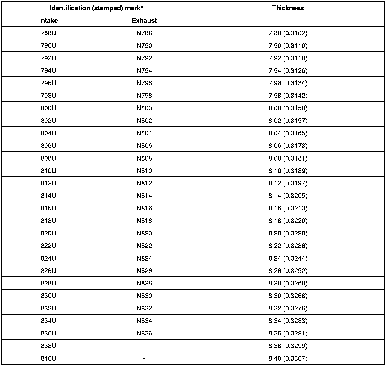
Available Valve Lifter

Unit: mm (in)










*: Always check with the Parts Department for the latest parts information

Cylinder Head

Unit: mm (in)






Valve Dimensions

Unit: mm (in)






Valve Guide

Unit: mm (in)






Valve Seat

Unit: mm (in)






*1: Diameter made by intersection point of conic angles (α1) and (α2)

*2
: Diameter made by intersection point of conic angles (α2) and (α3)

*3: Machining data

Valve Spring






Spark Plug Tube

Unit: mm (in)






Cylinder Block

Unit: mm (in)






*: Always check with the Parts Department for the latest parts information.

Piston, Piston Ring and Piston Pin

Available Piston

Unit: mm (in)






*: Always check with the Parts Department for the latest parts information

Piston Ring

Unit: mm (in)






Piston Pin

Unit: mm (in)






*: Always check with the Parts Department for the latest parts information

Connecting Rod

Unit: mm (in)






1: Always check with the Parts Department for the latest parts information

2: After installing in connecting rod

Crankshaft

Unit: mm (in)










1: Always check with the Parts Department for the latest parts information

2: Total indicator reading

Main Bearing









*: Always check with the Parts Department for the latest parts information

Undersize

Unit: mm (in)






Main Bearing Oil Clearance

Unit: mm (in)






*: Actual clearance

Connecting Rod Bearing





*: Always check with the Parts Department for the latest parts information

Undersize

Unit: mm (in)






Connecting Rod Bearing Oil Clearance

Unit: mm (in)






*: Actual clearance