LEMON Manuals: Even more car manuals for everyone: 1960-2025
Home >> Toyota >> 2004 >> Matrix Base, FWD, Standard >> Repair and Diagnosis >> External Pages >> Different car >> Section 165 (Power Windows) >> System Tests >> Test A: Window Does Not Operate With Power Window Master Switch (Manual Or Automatic Operation Can Not Be Performed)
April 5, 2026: LEMON Manuals is launched! Read the announcement.

Test A: Window Does Not Operate With Power Window Master Switch (Manual Or Automatic Operation Can Not Be Performed)

WARNING: This page is about a different car, the 2002 Lexus GS 430 and 2002 Lexus GS 300. However, it is still accessible from the selected car via links, so may be relevant.

For Test A, see TEST A: WINDOW DOES NOT OPERATE WITH POWER WINDOW MASTER SWITCH (MANUAL OR AUTOMATIC OPERATION CAN NOT BE PERFORMED)  table.

TEST A: WINDOW DOES NOT OPERATE WITH POWER WINDOW MASTER SWITCH (MANUAL OR AUTOMATIC OPERATION CAN NOT BE PERFORMED)

Trouble Suspect Area
All Windows Do Not Operate With Master Switch Of Each Window PWS Terminal Of Body ECU:
  • Body ECU PWS Terminal B8 Output
  • Master Switch PW Terminal 15 Output
  • Check Wire Harness Between PWS Terminal & PW Terminal 15
Windows Except Driver's Do Not Operate With Master Switch Of Each Window Master Switch (Window Lock Circuit) Faulty:
  • Check Continuity Between Master Switch PW Terminal 15 & W/L2 Terminal 10
  • Check Wire Harness Between W/L2 Terminal Of Master Switch Terminal 10 & PCT Terminals Of Each Power Window Switch
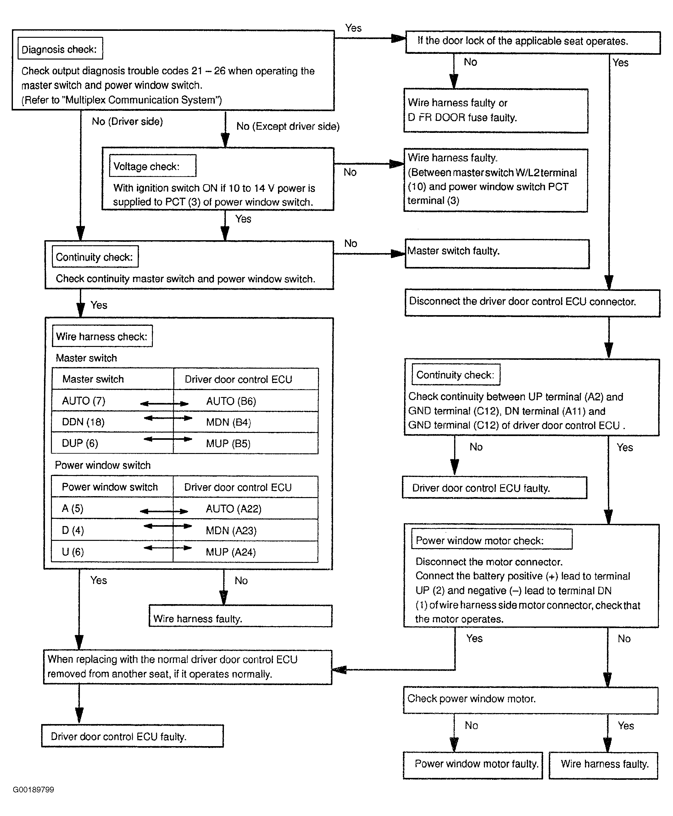
Only Specific Window Does Not Operate (Manual & Automatic Operation Can Not Be Performed) See Fig 1
Only Specific Window Does Not Operate (Automatic Operation Can Not Be Performed) When Jam Protection Sensor Is Defective, Automatic Function As A Fail-Safe Function Might Be Unable (Master Switch, Power Window & Door Control ECU)
Fig 1: Identifying Only Specific Window Does Not Operate (Manual & Automatic Operation Can Not Be Performed) Flowchart
G00189799Courtesy of © TOYOTA, LICENSE AGREEMENT TMS1002