LEMON Manuals: Even more car manuals for everyone: 1960-2025
Home >> Acura >> 2004 >> NSX 3.2 NA2 >> Repair and Diagnosis >> Engine Performance >> System >> Engine Controls - System & Component Testing >> Computerized Engine Controls >> PGM-FI Control System
April 5, 2026: LEMON Manuals is launched! Read the announcement.

PGM-FI Control System

The ECM is located behind the passenger seat under the bulkhead panels. See Fig 1 . For testing, see Fig 2 -Fig 5 .

Fig 1: Locating ECM & Backprobing Connectors
G00109791Courtesy of AMERICAN HONDA MOTOR CO., INC.
Fig 2: Engine Control Module (ECM) Diagnostic Flow Chart (1 Of 4)
G00107052Courtesy of AMERICAN HONDA MOTOR CO., INC.
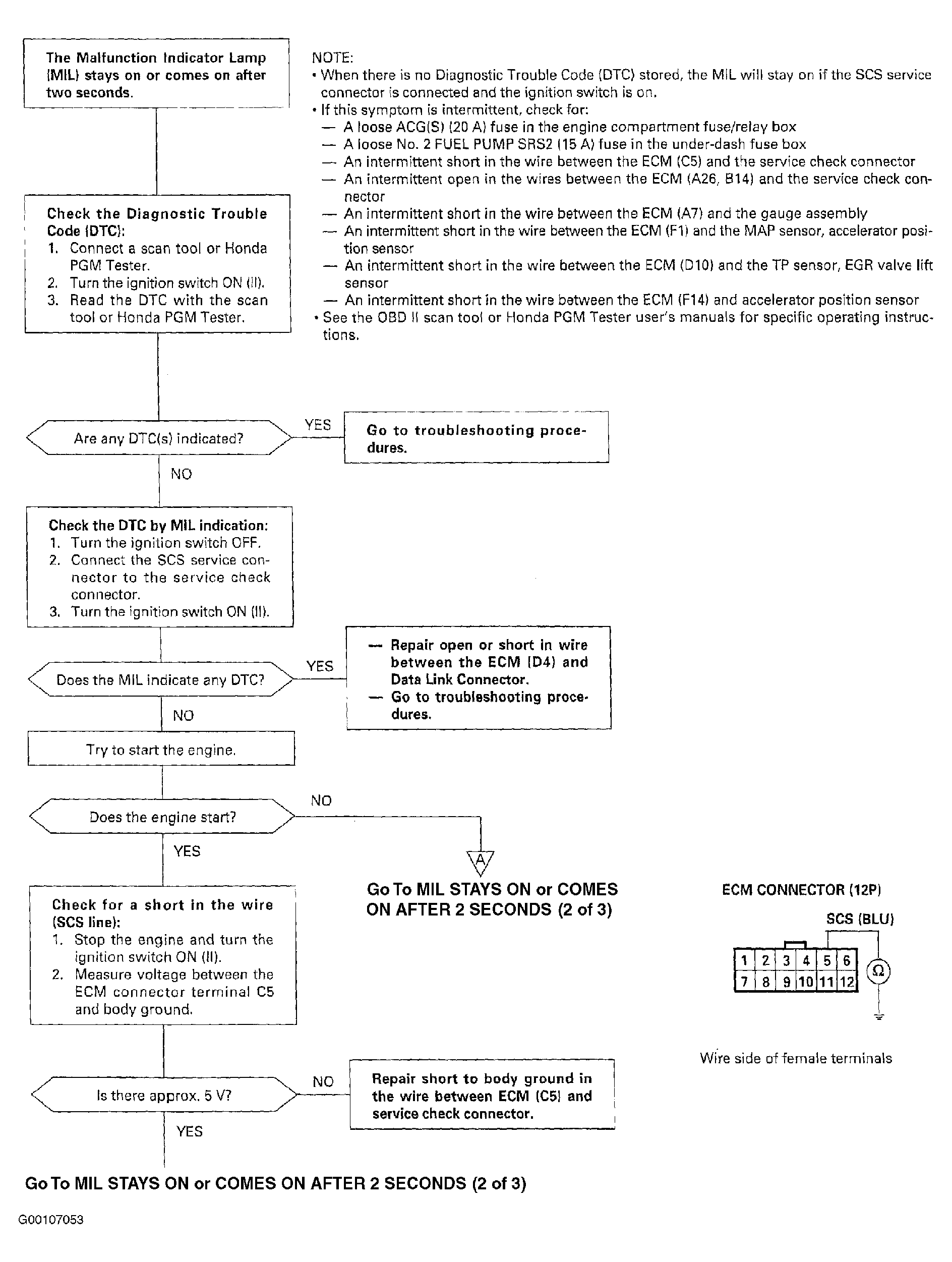
Fig 3: Engine Control Module (ECM) Diagnostic Flow Chart (2 Of 4)
G00107053Courtesy of AMERICAN HONDA MOTOR CO., INC.
Fig 4: Engine Control Module (ECM) Diagnostic Flow Chart (3 Of 4)
G00107054Courtesy of AMERICAN HONDA MOTOR CO., INC.
Fig 5: Engine Control Module (ECM) Diagnostic Flow Chart (4 Of 4)
G00107055Courtesy of AMERICAN HONDA MOTOR CO., INC.