LEMON Manuals: Even more car manuals for everyone: 1960-2025
Home >> Buick >> 1989 >> Reatta >> Repair and Diagnosis >> Engine Performance >> System >> 3.3L/3.8L PFI Tests W/Codes >> Diagnostic Trouble Code Charts: 13-66 >> Code 13: Open O2 Sensor Circuit >> Diagnostic Aids
April 5, 2026: LEMON Manuals is launched! Read the announcement.

Diagnostic Aids

An intermittent Code 13 may be caused by a poor connection, rubbed through wire insulation or a wire broken inside the insulation. Inspect ECM harness connectors for backed out terminals, improper mating, broken locks, improperly formed or damaged terminals, poor terminal to wire connection and damaged harness.

If connections and harness check out okay, "Scan" oxygen sensor voltage while moving related connectors and wiring harness. Engine should be warm, running at part throttle in "closed loop". If the failure is induced, the oxygen sensor voltage reading will change from its normal fluctuating voltage (greater than 600 mV to less than 300 mV) to a fixed value around 450 mV. This may help to isolate the location of the malfunction.

Fig 1: Code 13: Open O2 Sensor Ckt Diag (3.3L A/N Body)
G111112
Fig 2: Code 13: Open O2 Sensor Ckt Diag (3.3L C/H Body)
G50J02225
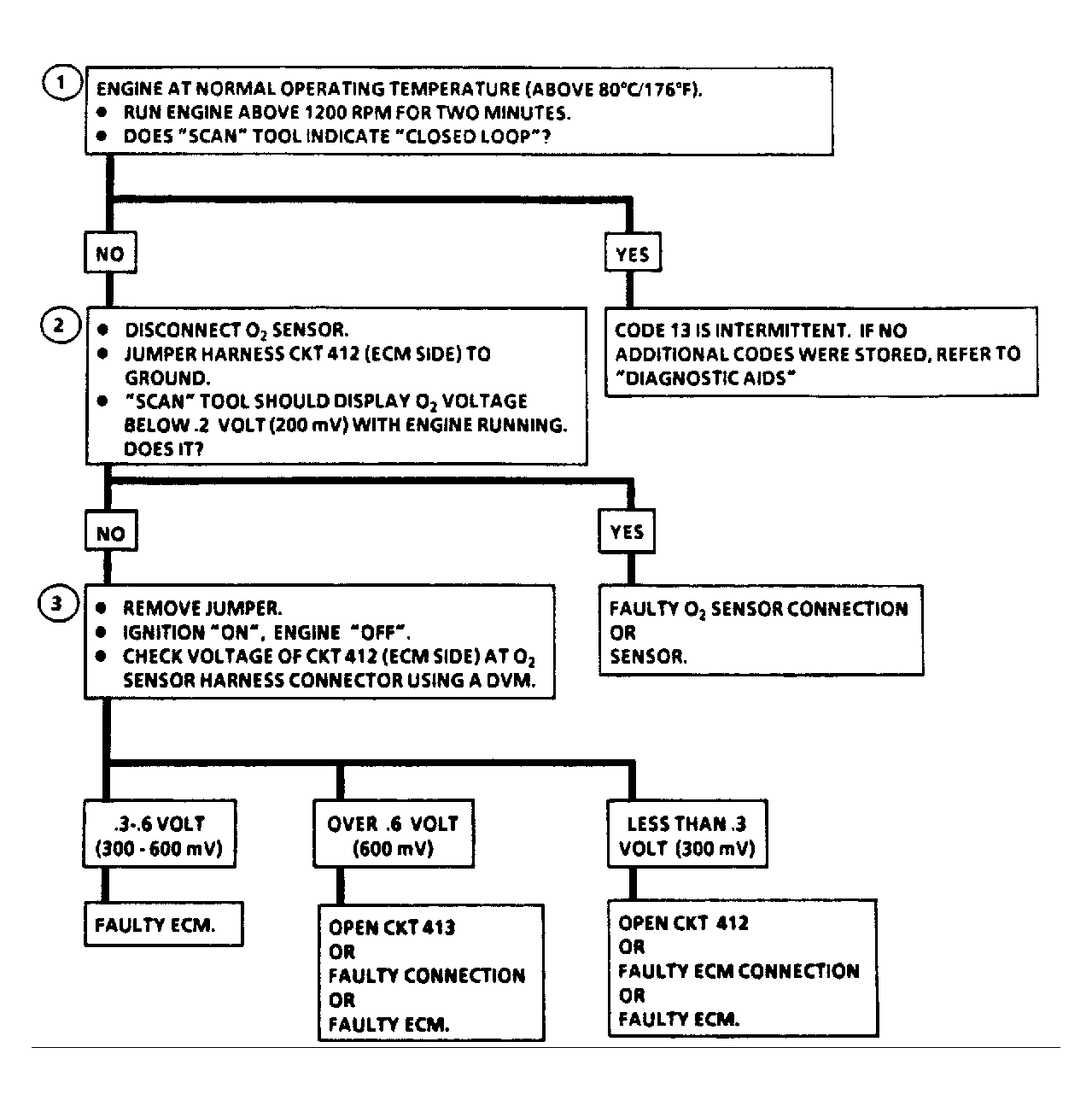
Fig 3: Code 13: Open O2 Sensor Circuit Flow Chart
G111114