LEMON Manuals: Even more car manuals for everyone: 1960-2025
Home >> Buick >> 2013 >> Verano L4-2.0L Turbo >> Repair and Diagnosis >> Specifications >> Mechanical Specifications >> Engine >> System Specifications >> Service Limits & General Specifications
April 5, 2026: LEMON Manuals is launched! Read the announcement.

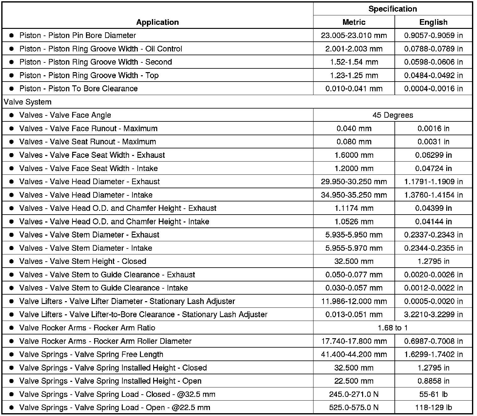
Service Limits & General Specifications




Engine Mechanical Specifications (LDK, LHU)