LEMON Manuals: Even more car manuals for everyone: 1960-2025
Home >> Cadillac >> 1993 >> Seville Base >> Repair and Diagnosis >> Engine Performance >> System >> Engine Controls - Tests W/Codes - Pcm >> Pcm Code Charts >> Pcm Code P031 - Shorted Map Sensor Circuit >> Note On Intermittents
April 5, 2026: LEMON Manuals is launched! Read the announcement.

Note On Intermittents

Manipulate affected wiring and connectors while observing PCM parameter PD02. Apply and release vacuum to MAP sensor vacuum port using a vacuum source. If PCM parameter PD02 displays greater than 108 kPa, condition has been induced and intermittent should be repaired. If wiring and connectors are okay, substitute a known good sensor, and retest.

Fig 1: PCM Code P031 Schematic - Shorted MAP Sensor Circuit
G93J40286Courtesy of GENERAL MOTORS CORP.
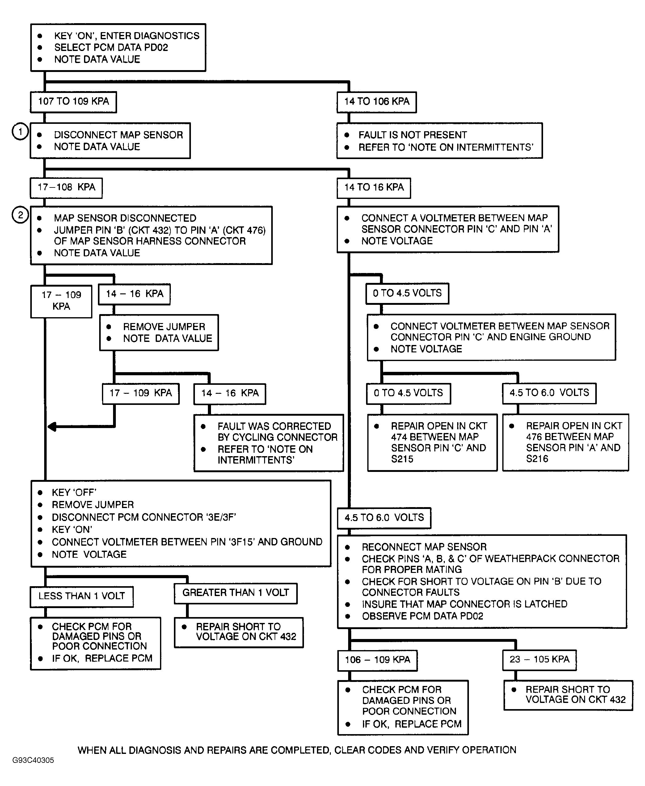
Fig 2: PCM Code P031 Flow Chart - Shorted MAP Sensor Circuit
G93C40305Courtesy of GENERAL MOTORS CORP.