LEMON Manuals: Even more car manuals for everyone: 1960-2025
Home >> Cadillac >> 1993 >> Seville Base >> Repair and Diagnosis >> Engine Performance >> System >> Engine Controls - Tests W/Codes - Pcm >> Pcm Code Charts >> Pcm Code P034 - Map Sensor Signal Too High >> Note On Intermittents
April 5, 2026: LEMON Manuals is launched! Read the announcement.

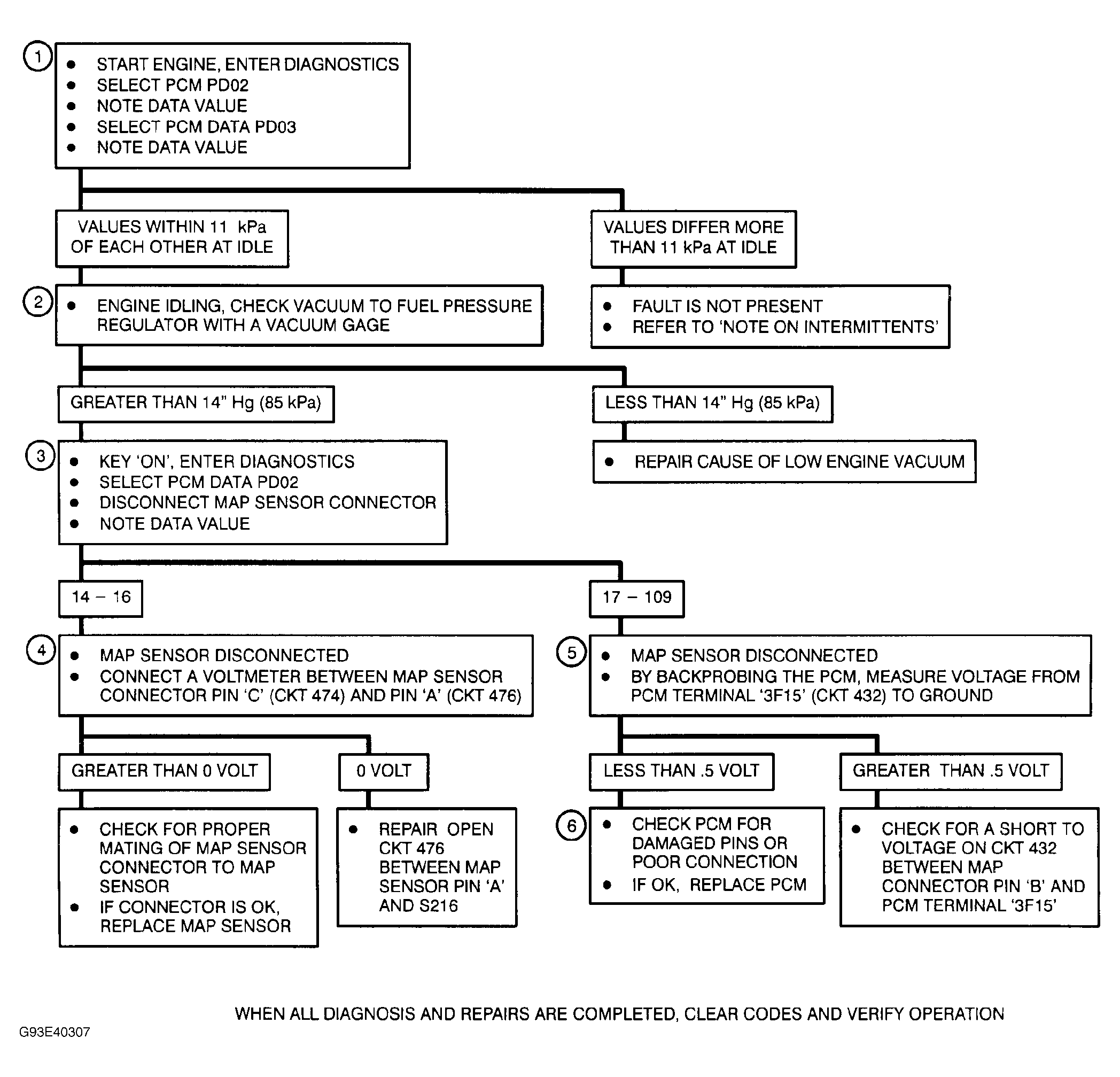
Note On Intermittents

PCM Code P034 is usually set by a vacuum supply problem to MAP sensor. Check for improper vacuum routing, MAP hose not connected to proper throttle body port or MAP hose chafed, pinched or cut. Apply vacuum to MAP hose at throttle body, and look for vacuum leaks in MAP hose or MAP sensor.

Fig 1: PCM Code P034 Schematic - MAP Sensor Signal Too High
G93J40286Courtesy of GENERAL MOTORS CORP.
Fig 2: PCM Code P034 Flow Chart - MAP Sensor Signal Too High
G93E40307Courtesy of GENERAL MOTORS CORP.