LEMON Manuals: Even more car manuals for everyone: 1960-2025
Home >> Cadillac >> 2009 >> DTS V8-4.6L >> Repair and Diagnosis >> Powertrain Management >> Computers and Control Systems >> Specifications >> Temperature Versus Resistance
April 5, 2026: LEMON Manuals is launched! Read the announcement.

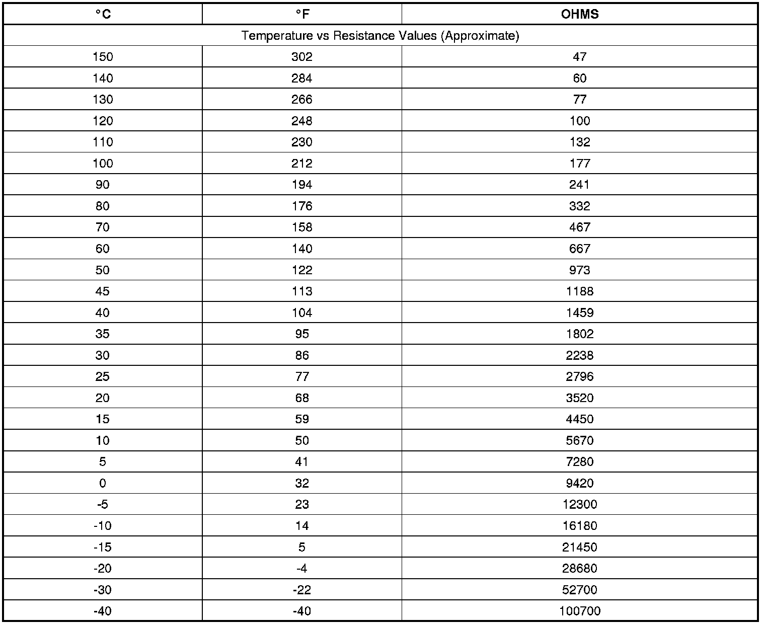
Temperature Versus Resistance




Temperature Versus Resistance