LEMON Manuals: Even more car manuals for everyone: 1960-2025
Home >> Chevrolet >> 2007 >> Malibu V6-3.5L >> Repair and Diagnosis >> Specifications >> Fluid Type Specifications >> Engine >> System Specifications
April 5, 2026: LEMON Manuals is launched! Read the announcement.

System Specifications



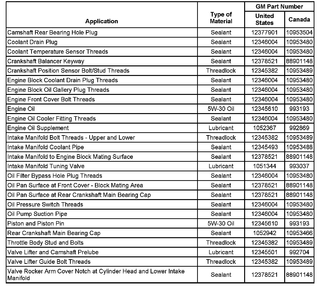
Sealers, Adhesives, and Lubricants

Sealers, Adhesives, and Lubricants: