LEMON Manuals: Even more car manuals for everyone: 1960-2025
Home >> Ford >> 1994 >> Probe V6-153 2.5L DOHC >> Repair and Diagnosis >> Powertrain Management >> Computers and Control Systems >> Testing and Inspection >> Scan Tool Testing and Procedures >> Normal Scan Data Values (Includes PID's) >> Static Resistance Values
April 5, 2026: LEMON Manuals is launched! Read the announcement.

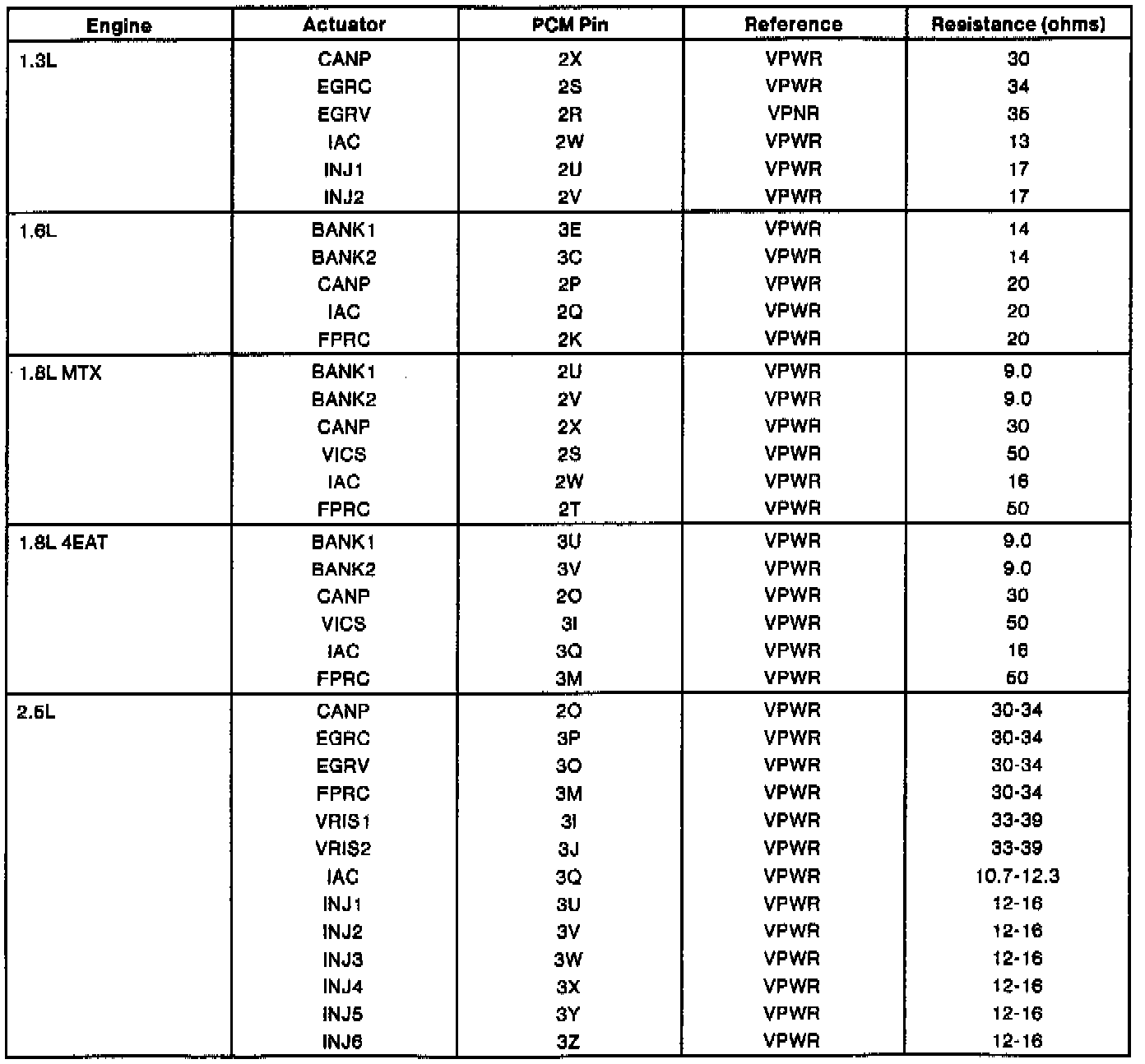
Static Resistance Values

Static Resistance Values: