LEMON Manuals: Even more car manuals for everyone: 1960-2025
Home >> Ford >> 1994 >> Probe V6-153 2.5L DOHC >> Repair and Diagnosis >> Specifications >> Electrical Specifications >> Computers and Control Systems >> System Specifications >> Automatic Transaxle
April 5, 2026: LEMON Manuals is launched! Read the announcement.

Automatic Transaxle

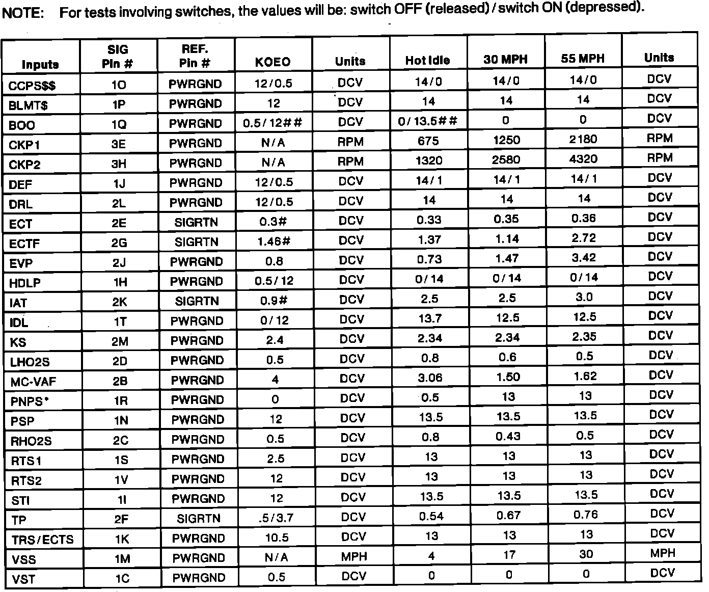
Diagnostic Reference Values (Part 1):



Diagnostic Reference Values (Part 2):