LEMON Manuals: Even more car manuals for everyone: 1960-2025
Home >> Ford >> 2001 >> Excursion 2WD V10-6.8L VIN S >> Repair and Diagnosis >> Body and Frame >> Locks >> Power Locks >> Testing and Inspection >> Pinpoint Tests >> Pinpoint Tests - Module Controlled >> Test M: Keyless Entry Remote Transmitter Out of Synchronization
April 5, 2026: LEMON Manuals is launched! Read the announcement.

Test M: Keyless Entry Remote Transmitter Out of Synchronization

M1 - M2:



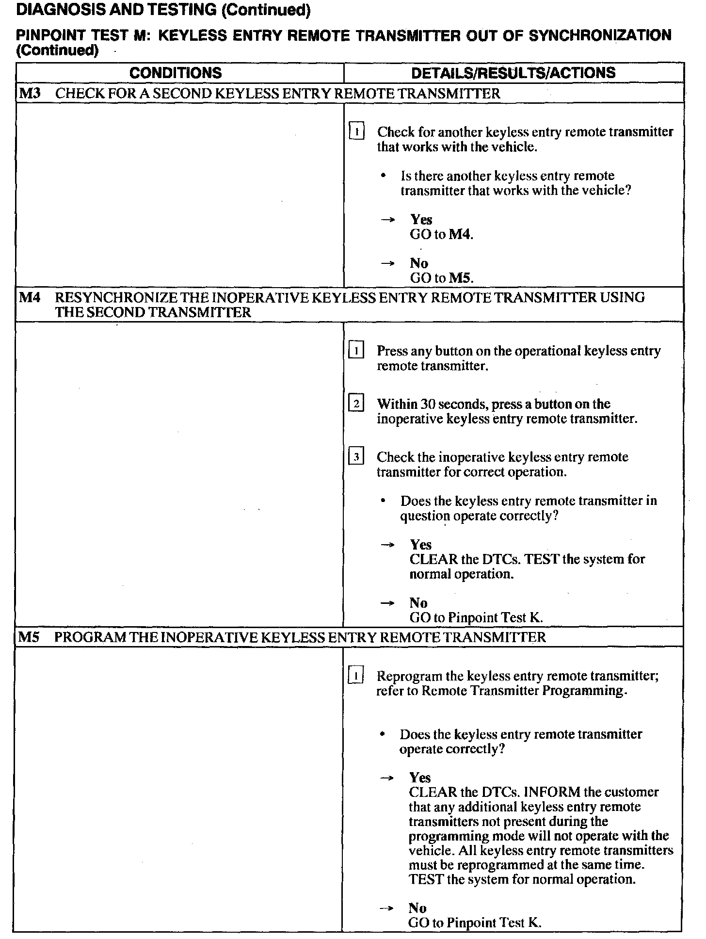
M3 - M5: