LEMON Manuals: Even more car manuals for everyone: 1960-2025
Home >> Ford >> 2007 >> Focus L4-2.3L VIN Z >> Repair and Diagnosis >> Powertrain Management >> Computers and Control Systems >> Testing and Inspection >> Pinpoint Tests >> Test Z: Intermittent
April 5, 2026: LEMON Manuals is launched! Read the announcement.

Test Z: Intermittent

PINPOINT TEST Z: INTERMITTENT


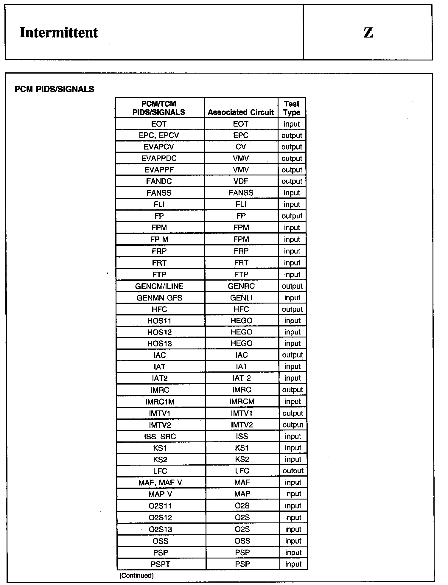
Warning And Table:






Table:






Z1:






Z2-Z5:






Z6-Z8:






Z9-Z10:






Z11-Z12:






Z13-Z14:






Z15:






Z16:






Z17:






Z18-Z19: