LEMON Manuals: Even more car manuals for everyone: 1960-2025
Home >> Ford >> 2012 >> Flex AWD V6-3.5L Turbo >> Repair and Diagnosis >> Application and ID >> Identification Codes
April 5, 2026: LEMON Manuals is launched! Read the announcement.

Identification Codes




Identification Codes

Vehicle Identification Number (VIN)

Vehicle Identification Number (VIN) Locator





The Vehicle Identification Number (VIN) is a 17-digit combination of letters and numbers. The VIN (Vehicle Identification Number) is stamped on a metal tab riveted to the instrument panel top, upper left of the dash. The VIN (Vehicle Identification Number) is also found on the Vehicle Certification (VC) label. If the VIN (Vehicle Identification Number) plate requires replacement, authorized dealers must contact their respective regional office.










World Manufacturer Identifier (WMI)

The first 3 VIN (Vehicle Identification Number) positions are the World Manufacturer Identifier (WMI).

- 2FM- Ford Motor Company, Canada, Multi-Purpose Vehicle (MPV)

Gross Vehicle Weight Rating (GVWR) and Restraint Type

The fourth VIN (Vehicle Identification Number) position is the vehicle restraint-type code.

- G- 5,001-6,000 lb Gross Vehicle Weight Rating (GVWR) with driver and front passenger air bags and side impact protection, all positions

- H- 6,001-7,000 lb GVWR (Gross Vehicle Weight Rating) with driver and front passenger air bags and side impact protection, all positions

- L- 5,001-6,000 lb Gross Vehicle Weight Rating (GVWR) with driver and front passenger air bags and side impact protection, 1st row

Vehicle Line and Series

Positions 5 through 7 indicate vehicle line and series.

- K5B- Ford Flex, FWD (Front Wheel Drive), SE

- K5C- Ford Flex, FWD (Front Wheel Drive), SEL

- K5D- Ford Flex, FWD (Front Wheel Drive), Limited

- K6C- Ford Flex, AWD (All-Wheel Drive), SEL

- K6D- Ford Flex, AWD (All-Wheel Drive), Limited

Engine Type

The eighth VIN (Vehicle Identification Number) position is the engine displacement and number of cylinders.

- C- 3.5L, Variable Camshaft Timing (VCT), 4 valve, V6

- T- 3.5L, DOHC, turbo-charged, 4 valve, V6

Additional engine information can be obtained from the engine tag. Refer to Engine.

Check Digit

The ninth VIN (Vehicle Identification Number) position is a government-assigned, computer-generated check digit.

Model Year

The tenth VIN (Vehicle Identification Number) position is the model year code.

- C- 2012

Assembly Plant

The eleventh VIN (Vehicle Identification Number) position is the assembly plant code.

- B- Oakville (Oakville Ontario, Canada)

Production Sequence Number

The last 6 VIN (Vehicle Identification Number) positions are a numeric code for the vehicle build sequence. This is also the vehicle serial and warranty number. The serial number can also be found on the engine block, transmission and frame.

- A00001-F99999- Ford Motor Company- MPV (Multi-Purpose Vehicle)

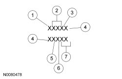
Vehicle Certification (VC) Label

Vehicle Certification (VC) Label Locator





The Vehicle Certification (VC) label is located in the driver side door opening and contains the manufacturer name, the month and year of manufacture, the certification statement and the Vehicle Identification Number (VIN). It also includes the Gross Vehicle Weight Rating (GVWR).

If a vehicle requires replacement of the VC (Vehicle Certification) label and is 4 years old or less, an authorized dealer must submit the VIN (Vehicle Identification Number) to their respective regional office. The regional office will submit a web form to the assembly plant for the replacement label. Once the label has been printed, a representative from the regional office will deliver the label to the dealer and witness installation on the vehicle. If a vehicle is more than 4 years old and requires a replacement label, the dealer must submit a request to the Department of Motor Vehicles.










Paint Codes

Vehicle paint codes may be listed as a 2-part code. The first set of paint code numbers/letters listed indicate the vehicle primary body color. The second set of numbers/letters listed (if applicable) indicate a 2-tone or accent body color. All colors are base coat/clear coat.

- DX- Dark Blue Pearl

- FQ- Bordeaux Reserve Red Metallic

- HS- Earth Metallic

- HT- Cinnamon

- JY- Ginger Ale

- L6- Kona Blue

- RZ- Red Candy Tint

- TK- Mineral Gray

- UA- Ebony

- UG- White Platinum (tri-coat)

- UH- Tuxedo Black Metallic

- UX- Ingot Silver

- WS- White Suede

Wheelbase Code

The following lists the vehicle wheelbase code:

- 118- 2997 mm (118 in)

Interior Trim Codes

The interior trim codes are listed as a 2-part code. The first digit listed indicates the seat and fabric style. The second digit listed indicates the interior trim color.

Trim Codes

- C- Elswood cloth seating

- G- Super-Soft grain leather seating

- L- SOHO leather seating

- P- Dia perforated/SOHO grained leather seating

Interior Trim Color Code

- S- Light Stone

- W- Charcoal Black

Tape/Paint Pinstripe Codes

Tape and paint pinstripe codes do not apply.

Radio Codes

The following lists the available radio types and their codes:

- V- High-definition AM/FM stereo with DVD and navigation system

- Z- AM/FM stereo with CD player and clock

Axle Codes

The following lists the rear axle ratios and their codes:

- 3E- 3.16 ratio

- 3F- 3.39 ratio (electric drive)

Additional axle information can be obtained from the axle tag.

Transmission Code

Available transmissions and their codes are listed below:

- G- 6-speed automatic (6F55)

- J- 6-speed automatic (6F50)

Additional transmission information can be obtained from the transmission tag.

Spring Codes

Spring codes list both front and rear spring codes. The first set of characters identify the front springs. The second set of characters identify the rear springs.

Front Springs

- AA- Front Wheel Drive (FWD) vehicles with 3.5 engine

- BB- All-Wheel Drive (AWD) vehicles with 3.5 engine

- CC- AWD (All-Wheel Drive) with 3.5L DOHC turbo-charged engine

Rear Springs

- EE- AWD (All-Wheel Drive) vehicles with 3.5 engine

- FF- FWD (Front Wheel Drive) vehicles with 3.5 engine

- GG- AWD (All-Wheel Drive) with 3.5L DOHC turbo-charged engine

Powertrain Calibration Information





NOTE: Powertrain calibration information is limited to a maximum of 5 characters per line on the Vehicle Certification (VC) label. Because of this, calibration identification consisting of more than 5 characters will wrap to the second line on the VC (Vehicle Certification) label.

Powertrain calibration information is printed in the lower right corner of the VC (Vehicle Certification) label. Only the base calibration information is printed. Revision levels will not appear, however, they can be obtained through a scan tool using the most current software revision.










Model Year

Model year code indicates the year in which the calibration code was introduced.

- 9- 2009

- A- 2010

- B- 2011

- C- 2012

Vehicle Code

The vehicle code indicates the vehicle line to which the code applies.

- MB- Ford Flex

Transmission Code

The transmission code identifies the type of transmission used.

- 1- Automatic transmission

Unique Calibration

The Emissions/Corporate Average Fuel Economy/CO2 Compliance Department is responsible for assigning these calibration numbers. Unique identifications are assigned to cover similar vehicles to differentiate between tires, drive configurations, final drive ratios and other calibration-significant factors.

These 2 characters are chosen by the analyst to provide identifiable information unique to each calibration. For example, using the number 2 to denote a 2-valve engine versus using the number 4 to identify a 4-valve engine provides an easily identifiable difference.

Fleet Coding

Identifies the fleet to which the vehicle belongs.

- 0- Certification (US 4K, final sale in export markets)

- 1- Heavy duty gas engine/Dyno

- 2- Fast-Automobile Manufacturer's Association, US

- 3- Alternative durability protocol, US

- 4- Not assigned

- 5- Not assigned

- 6- Evaporative Emission (EVAP)

- 7- Mileage accumulation, aging endurance

- 8- On-Board Diagnostic (OBD)

- 9- Not assigned

Certification Region

When instances where multiple regions are included in one calibration, the lead region will be listed.

- 5- US 50 states

- A- US federal, including altitude, may include Canada and/or Mexico

- B- US California standard, includes US green states

- C- Canada

- D- China

- E- European Community (Austria, Belgium, Denmark, Finland, France, Germany, Greece, Ireland, Italy, Luxembourg, Netherlands, Portugal, Spain, Sweden and United Kingdom)

- F- European Extended Community (E plus Croatia, Czech Republic, Estonia, Hungary, Norway, Poland, Romania, Russian Federation, Slovakia, Slovenia, Switzerland and Yugoslavia)

- G- Gulf Cooperative Council (Bahrain, Kuwait, Oman, Qatar, Saudi Arabia and United Arab Emirates)

- H- Hong Kong

- J- Japan

- K- Korea

- L- Malaysia

- M- Mexico

- N- New Zealand

- P- Australia

- Q- South America (Brazil)

- S- Singapore

- T- Taiwan

- U- South America (unleaded fuel regions)

- V- Vietnam

- X- Rest Of World (ROW)

- Y- Military

- Z- Israel

Revision Level (not printed on label)

- 91-99- Hardware and certification levels

- 01-04- Preliminary levels

- 00- Job 1 production (initial certification)

- 05-09- Pre-job 1 revisions to calibrations

- 10-89- Post-job 1 revisions to calibrations

- 0B- Durability test level

- BD- On-Board Diagnostic (OBD) intermediate level (pre-05)