LEMON Manuals: Even more car manuals for everyone: 1960-2025
Home >> GMC >> 1994 >> Safari Van Cargo Extended, 4.3 Z >> Repair and Diagnosis >> Engine Performance >> System >> Engine Controls - Basic Testing >> Diagnostic Circuit Check >> A-2, Mil Always On Or Won't Flash Code 12
April 5, 2026: LEMON Manuals is launched! Read the announcement.

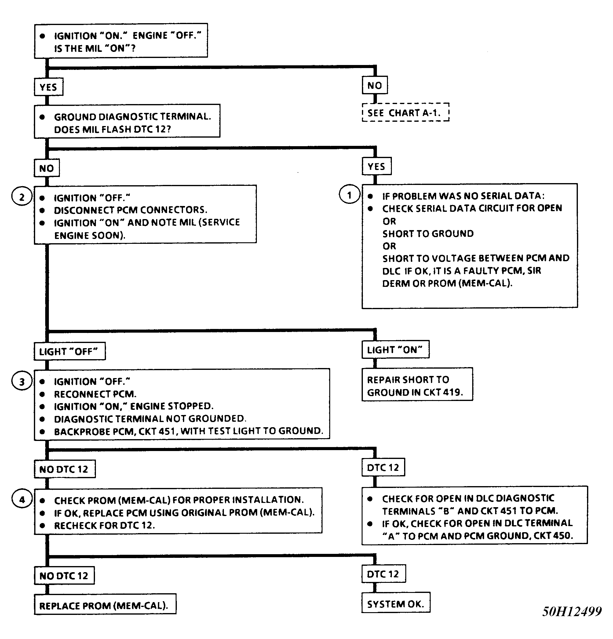
A-2, Mil Always On Or Won't Flash Code 12

  1. Turn ignition on, engine off. If MIL does not illuminate, see A-1, MALFUNCTION INDICATOR LIGHT (MIL) INOPERATIVE. If MIL is on, ground DLC test terminals "A" and "B". Code 12 should flash. If Code 12 does not flash, go to step 2). If Code 12 now flashes, problem is no serial data. Check serial data circuit for open or short to ground, or short to voltage between ECM and DLC terminal. If circuits are okay, replace faulty ECM or PROM (MEM-CAL).
  2. Turn ignition off. Disconnect ECM connectors. Turn ignition on. If MIL is on, check for short to ground in MIL driver circuit between MIL and ECM driver terminal. See Figure . Also, see WIRING DIAGRAMS at the end of this article for terminal identification.
  3. If light is off with ECM connectors disconnected, turn ignition off. Reconnect ECM connectors. Turn ignition on with engine off and diagnostic terminal not grounded. Using a test light connected to ground, backprobe ECM terminal circuit to DLC terminal "B". See Figure . If MIL does not flash Code 12, go to step 4). If MIL flashes Code 12, check for open in DLC test terminal "B" circuit to ECM. If circuit is okay, check for open in DLC terminal "A" circuit to ECM and ECM ground. See Figure .
  4. Check PROM (MEM-CAL) for proper installation. If installation is okay, replace ECM using original PROM (MEM-CAL). Recheck for Code 12. If Code 12 is not present, replace PROM (MEM-CAL). If Code 12 is present, system is okay.
Fig 1: Chart A-2, MIL Always On Or Won't Flash Code 12
G50H12499Courtesy of GENERAL MOTORS CORP.
Fig 2: Diagnostic Circuit Check & Work Flow
G93C76572