LEMON Manuals: Even more car manuals for everyone: 1960-2025
Home >> GMC >> 2013 >> Terrain AWD V6-3.6L >> Repair and Diagnosis >> Specifications >> Mechanical Specifications >> Engine >> System Specifications >> Service Limits & General Specifications
April 5, 2026: LEMON Manuals is launched! Read the announcement.

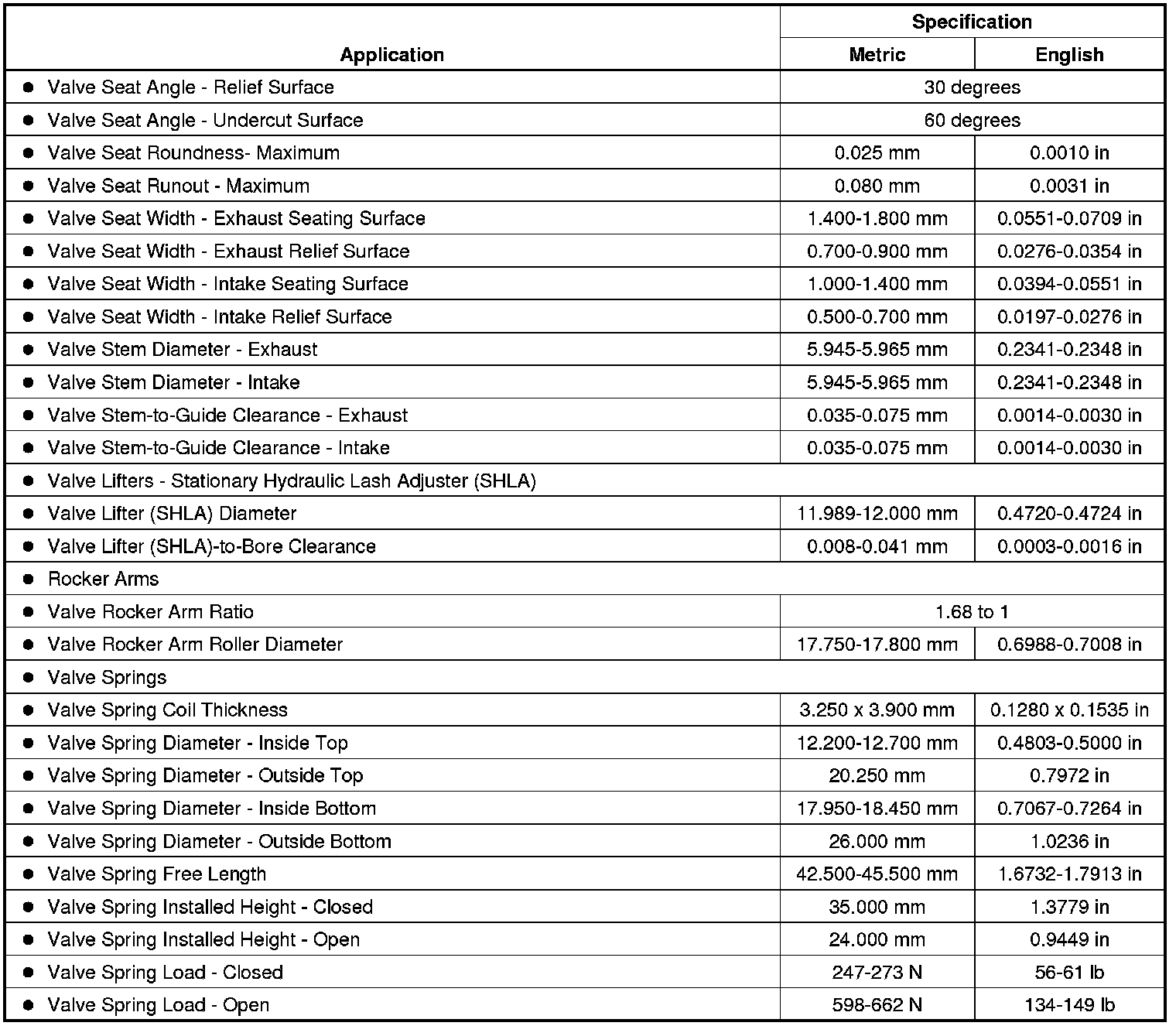
Service Limits & General Specifications




Engine Mechanical Specifications (LFX)