LEMON Manuals: Even more car manuals for everyone: 1960-2025
Home >> Infiniti >> 2024 >> QX60 Autograph, AWD >> Repair and Diagnosis >> Engine Performance >> Engine Control Systems >> Drive Mode System >> Basic Inspection >> Diagnosis And Repair Work Flow >> Work Flow
April 5, 2026: LEMON Manuals is launched! Read the announcement.

Work Flow

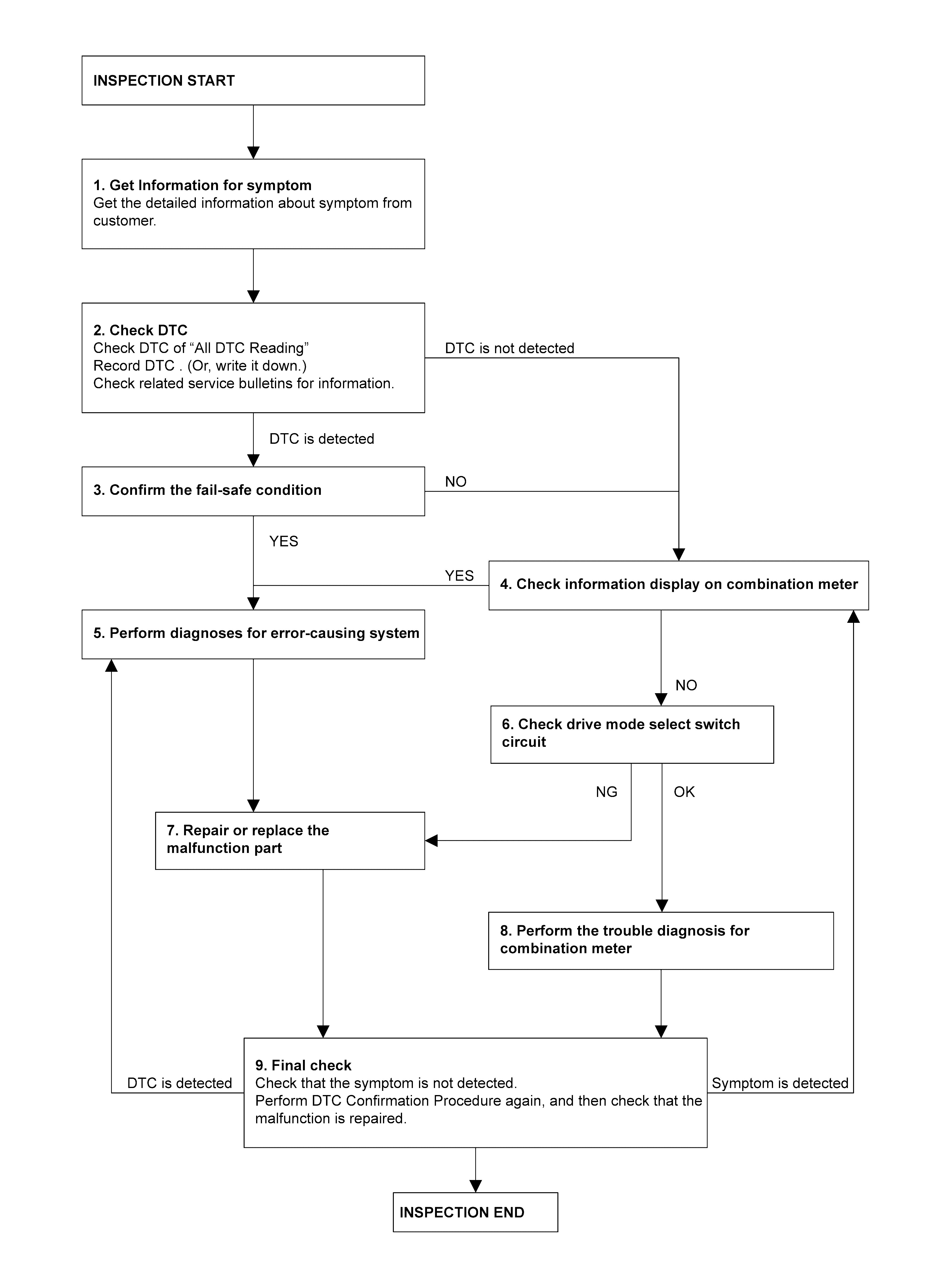
INFINITI DRIVE MODE SELECTOR 

Overall Sequence 

GNSDB139927Courtesy of NISSAN NORTH AMERICA, INC.

Detailed Flow 

  1. GET INFORMATION FOR SYMPTOM 
    1. Get the detailed information about symptom from customer.
    2. Check the drive mode indicator on the meter appeared.
    3. Check the Drive mode indicator on the meter changed when operates the drive mode select switch.

    >>

    GO TO 2.

  2. CHECK THE DTC 

    SYMBOL With CONSULT

    1. Check DTC of "All DTC Reading".
    2. Perform the following procedure if DTC is displayed.
      • Record DTC and freeze frame data. (Or, write it down.)
    3. Check related service bulletins for information.

    Are any DTCs detected?

    >>

    GO TO 3.

    >>

    GO TO 4.

  3. CONFIRM THE FAIL-SAFE CONDITION 

    Confirm the fail-safe condition of detected DTC. Refer to Fail-Safe .

    Are there any DTCs that causes INFINITI drive mode selector function is suspended?

    >>

    GO TO 5.

    >>

    GO TO 4.

  4. CHECK INFORMATION DISPLAY ON COMBINATION METER 
    1. Ignition switch OFF and wait at least 10 seconds.
    2. Ignition switch ON.
    3. Check that STANDARD / AUTO is displayed on the information display screen of the combination meter.
    4. Check that the view of information display change when switching up and down the drive mode select switch.

    Is the inspection result normal?

    >>

    GO TO 5.

    >>

    GO TO 6.

  5. PERFORM DIAGNOSES FOR ERROR-CAUSING SYSTEM 

    SYMBOL With CONSULT Perform the trouble diagnosis of components that DTC indicated.

    >>

    GO TO 7.

  6. CHECK DRIVE MODE SELECT SWITCH CIRCUIT 

    Check drive mode select switch circuit. Refer to Diagnosis Procedure .

    Is the inspection result normal?

    >>

    GO TO 8.

    >>

    GO TO 7.

  7. REPAIR OR REPLACE THE MALFUNCTION PART 

    Repair or replace the malfunctioning part.

    >>

    GO TO 9.

  8. CHECK COMBINATION METER 

    Check the combination meter.

    >>

    GO TO 9.

  9. FINAL CHECK 

    SYMBOL With CONSULT

    1. Check that the symptom is not detected.
    2. Perform DTC Confirmation Procedure again, and then check that the malfunction is repaired.

    Is DTC detected and/or does symptom remain?

    >>

    (DTC is detected) GO TO 5.

    >>

    (Symptom remains) GO TO 4.

    >>

    INSPECTION END

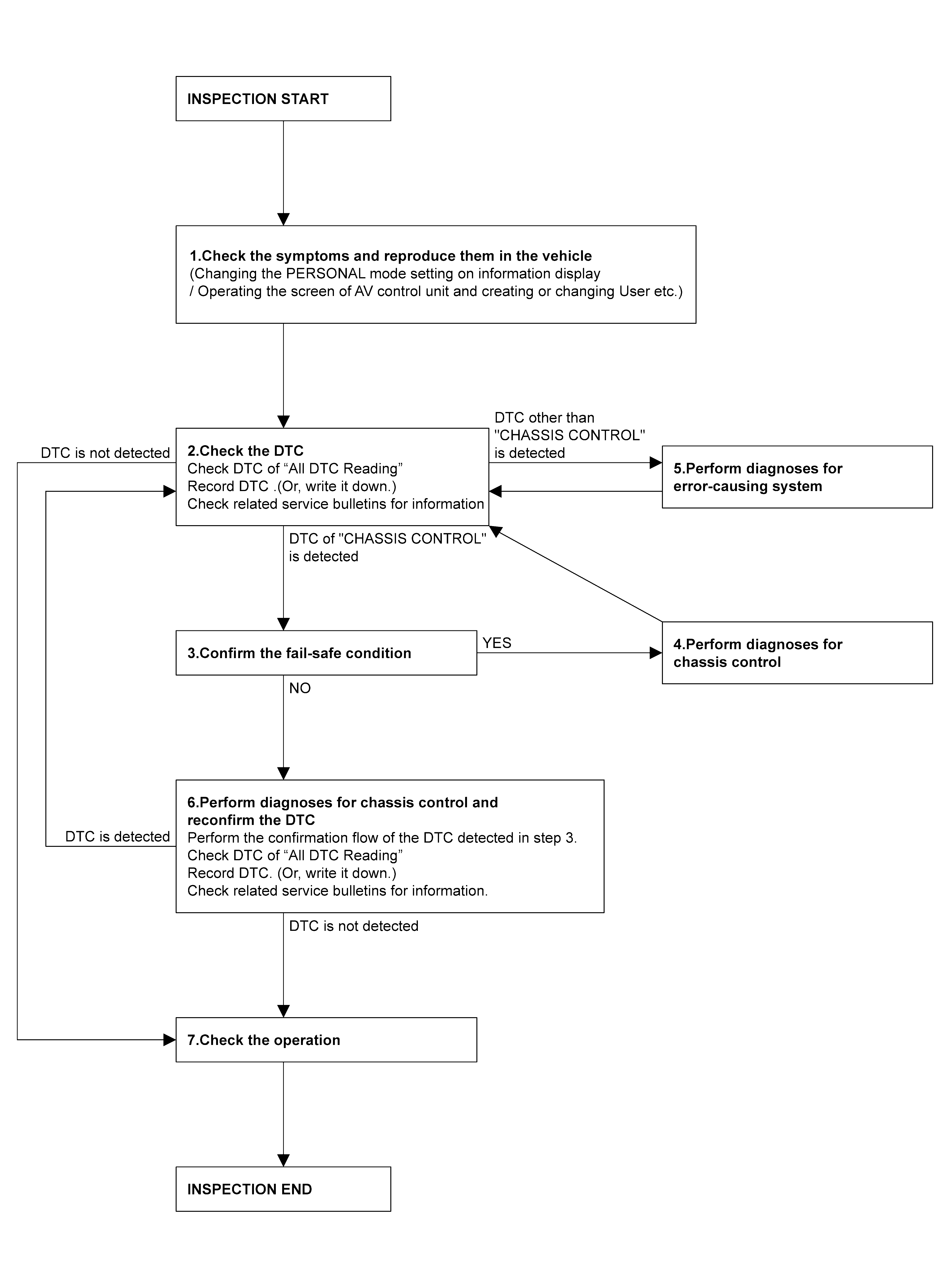
INFINITI DRIVE MODE SELECTOR (PERSONAL MODE SETTING) 

Overall Sequence 

GNSDB139958Courtesy of NISSAN NORTH AMERICA, INC.

Detailed Flow 

  1. CHECK THE SYMPTOMS AND REPRODUCE THEM IN THE VEHICLE 

    Changing the PERSONAL mode setting on information display. / Operating the screen of AV control unit and creating or changing User etc.

    >>

    GO TO 2.

  2. CHECK THE DTC 
    1. Check DTC of "All DTC Reading".
    2. Perform the following procedure if DTC is displayed.
      • Record DTC. (Or, write it down.)
    3. Check related service bulletins for information.

    Are any DTCs detected?

    DTC is detected of "CHASSIS CONTROL">>

    GO TO 3.

    DTC is detected other than "CHASSIS CONTROL">>

    GO TO 5.

    DTC is detected other than "CHASSIS CONTROL">>

    GO TO 7.

  3. CONFIRM THE FAIL-SAFE CONDITION 
    1. Confirm the fail-safe condition of detected DTC refer to Fail-safe on "CHASSIS CONTROL".

    Are there any DTCs that causes "INFINITI drive mode selector function" is suspended?

    >>

    GO TO 4.

    >>

    GO TO 6.

  4. PERFORM DIAGNOSES FOR CHASSIS CONTROL 

    Perform the trouble diagnosis of components that DTC indicated in "CHASSIS CONTROL".

    >>

    GO TO 2.

  5. PERFORM DIAGNOSES FOR ERROR-CAUSING SYSTEM 

    Perform the trouble diagnosis of components that DTC indicated.

    >>

    GO TO 2.

  6. PERFORM DIAGNOSES FOR CHASSIS CONTROL AND RECONFIRM THE DTC 
    1. Perform the confirmation flow of the DTC detected in step 3.
    2. Check DTC of "All DTC Reading"
    3. Perform the following procedure if DTC is displayed.
      • Record DTC. (Or, write it down.)
    4. Check related service bulletins for information.

    Are any DTCs detected?

    DTC is detected>>

    GO TO 2.

    DTC is not detected>>

    GO TO 7.

  7. CHECK THE OPERATION 

    Finally, check the symptoms and reproduce them again in the vehicle. (Changing the PERSONAL mode setting on information display. / Operating the screen of AV control unit and creating or changing User etc.)

    >>

    INSPECTION END