LEMON Manuals: Even more car manuals for everyone: 1960-2025
Home >> Isuzu >> 2004 >> Axiom Base, RWD >> Repair and Diagnosis (Single Page) >> Engine Performance >> System >> Engine Control System - Introduction >> On-Board Diagnostic (OBD-II) >> On-Board Diagnostic (OBD-II) Information >> Plotting Graph Flow Chart (Plotting Graph after Obtaining Vehicle Information)
April 5, 2026: LEMON Manuals is launched! Read the announcement.

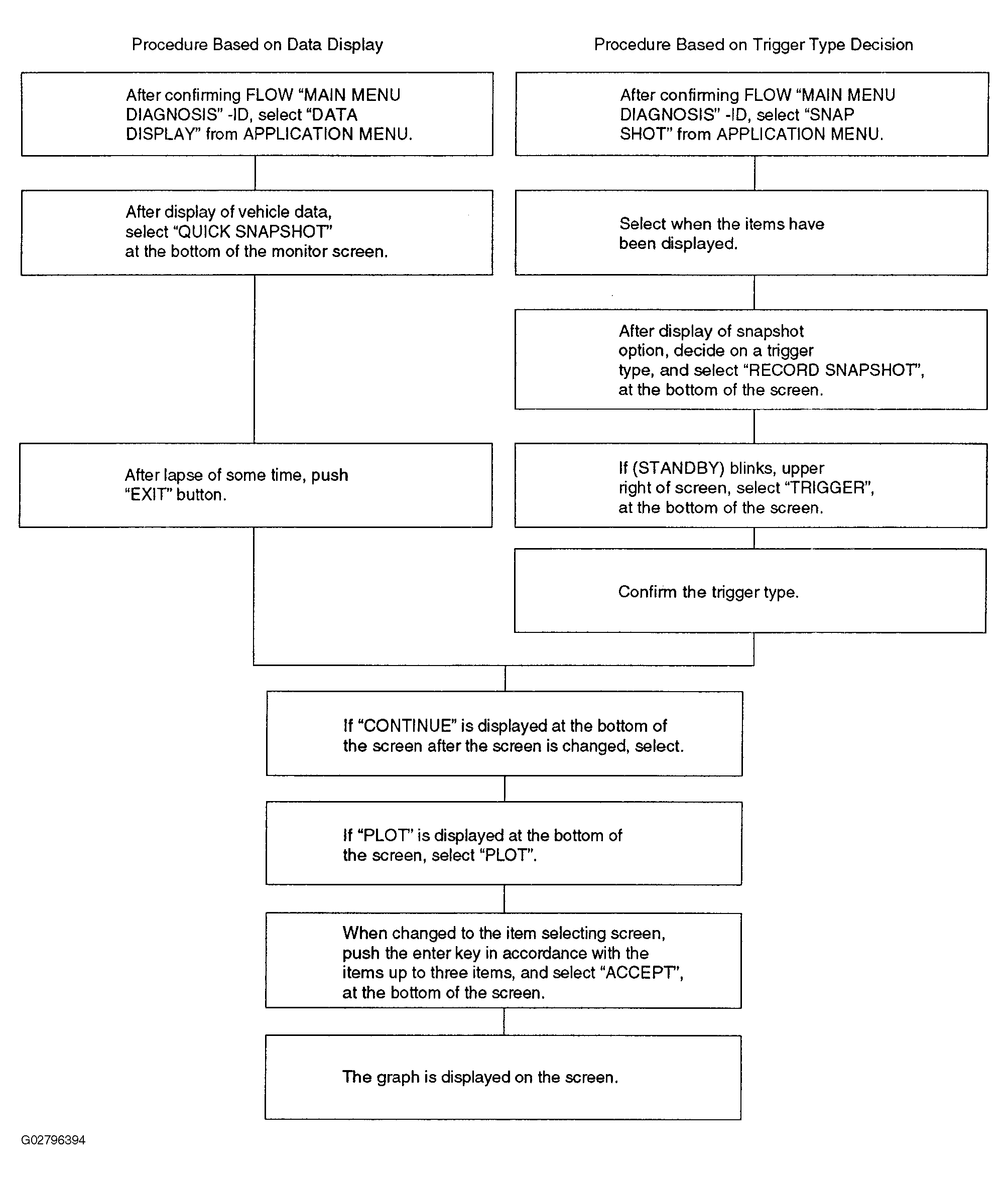
Plotting Graph Flow Chart (Plotting Graph after Obtaining Vehicle Information)

Fig 1: Plotting Graph Flow Chart
G02796394Courtesy of ISUZU MOTOR CO.