LEMON Manuals: Even more car manuals for everyone: 1960-2025
Home >> Jeep >> 2007 >> Commander Base, 4.7 P, AWD >> Repair and Diagnosis >> Electrical >> Charging Systems >> Charging System (Service Information) >> Charging - Service Information >> Operation >> Charging System
April 5, 2026: LEMON Manuals is launched! Read the announcement.

Charging System

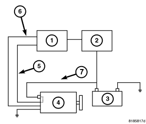
Fig 1: Identifying Charging System
GC0050725Courtesy of CHRYSLER LLC
1 - PCM
2 - TIPM
3 - Battery
4 - Generator
5 - Feed Back Circuit B+
6 - Control Circuit
7 - Battery Sense

On gasoline powered engines, the charging system is turned on and off with the PCM (Powertrain Control Module) and ignition switch with engine running. On diesel powered engines, the charging system is turned on and off with the ECM (Engine Control Module) and ignition switch with engine running. The field circuit will not be energized until engine is running and ignition switch on. This voltage is connected through the PCM and supplied to one of the generator field terminals (Gen. Source B+) at the back of the generator. The generator is internally grounded. The generator regulates the field using pin-1 of the field connector (high side driver).

The generator is driven by the engine through a serpentine belt and pulley, or a decoupler pulley arrangement.

The PCM, or ECM receives a voltage input from the generator (5) and also a battery voltage input (7) from the TIPM (Totally Integrated Power Module), it then compares the voltages to the desired voltage programed in the EVR (Electronic Voltage Regulator) software, and, if there is a difference it sends a signal to the generator EVR circuit to increase or decrease output. It uses a Pulse Width Modulation (PWM) to send signals to the generator circuitry to control the amount of output from the generator. The amount of DC current produced by the generator is controlled by the EVR circuitry contained within the generator.

All vehicles are equipped with On-Board Diagnostics (OBD). All OBD-sensed systems, including EVR circuitry, are monitored by the PCM. Each monitored circuit is assigned a Diagnostic Trouble Code (DTC). The PCM will store a DTC in electronic memory for certain failures it detects.

The Check Gauges Lamp (if equipped) monitors: charging system voltage,   engine coolant temperature and engine oil pressure. If an extreme condition is indicated, the lamp will be illuminated. This is done as reminder to check the three gauges. The lamp is located on the instrument panel. Refer to INSTRUMENT CLUSTER article for additional information.

Voltage is monitored at the B+ terminal stud to insure it is connected. If the B+ cable is loose, the PCM will shut down generator field. Because of this new feature, pin-2 of the field connector is internally connected to the B+ terminal.

The generator used with diesel engines is internally regulated. The generator and ECM communicate for diagnostics, etc. If the generator regulator becomes disconnected from the ECM, it will still operate, but in a default mode.