LEMON Manuals: Even more car manuals for everyone: 1960-2025
Home >> Kia >> 2018 >> Soul EV Base >> Repair and Diagnosis >> Steering >> Steering Column >> Motor Driven Power Steering System >> Repair Procedures >> A/S Repair Procedures >> MDPS System A/S Workflow
April 5, 2026: LEMON Manuals is launched! Read the announcement.

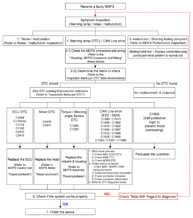
MDPS System A/S Workflow

G12818168Courtesy of KIA MOTORS AMERICA, INC.

(1) Noise/malfunction Inspection 

G12818169Courtesy of KIA MOTORS AMERICA, INC.

(2) Warning lamp (DTC)/CAN Line error