LEMON Manuals: Even more car manuals for everyone: 1960-2025
Home >> Kia >> 2020 >> Rio LX >> Repair and Diagnosis >> Steering >> Steering Column >> Motor Driven Power Steering System >> Repair Procedures >> A/S Repair Procedures >> MDPS System A/S Workflow
April 5, 2026: LEMON Manuals is launched! Read the announcement.

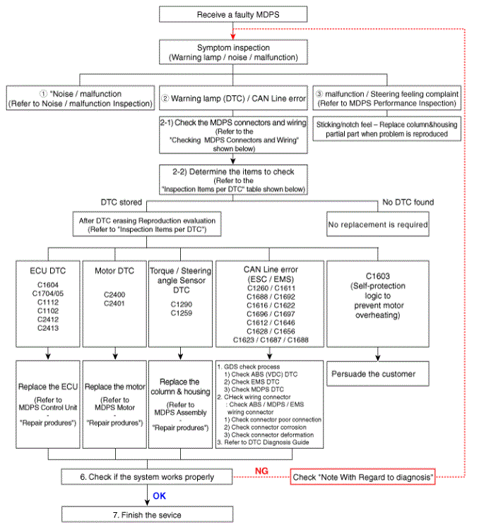
MDPS System A/S Workflow

G13412843Courtesy of KIA MOTORS AMERICA, INC.