LEMON Manuals: Even more car manuals for everyone: 1960-2025
Home >> Kia >> 2021 >> Forte EX >> Repair and Diagnosis >> Steering >> Steering Column >> Motor Driven Power Steering System >> Repair Procedures >> A/S Repair Procedures >> MDPS System A/S Workflow >> Notes
April 5, 2026: LEMON Manuals is launched! Read the announcement.

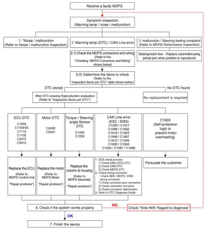
MDPS System A/S Workflow: Notes

G13304645Courtesy of KIA MOTORS AMERICA, INC.