LEMON Manuals: Even more car manuals for everyone: 1960-2025
Home >> Kia >> 2023 >> Soul EX >> Repair and Diagnosis >> Steering >> Steering Column >> Motor Driven Power Steering System >> Repair Procedures >> A/S Repair Produces >> MDPS System A/S Workflow
April 5, 2026: LEMON Manuals is launched! Read the announcement.

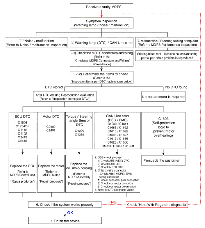
MDPS System A/S Workflow

G15714985Courtesy of KIA MOTORS AMERICA, INC.
  1. Noise/malfunction Inspection 
    G15714986Courtesy of KIA MOTORS AMERICA, INC.
  2. Warning lamp (DTC)/CAN Line error 

    2 - 1 Checking Connectors and Wiring 

    1. Checking Connectors and Wiring.

      Check for damage, push-back, or improper connection in each connector and wiring.

      1. Check the wiring on the vehicle side.
        • Check for open/short - circuit due to faulty connection, damage, or foreign substance.
        G15714987Courtesy of KIA MOTORS AMERICA, INC.
      2. Check the wiring on the ECU side (motor 3 - phase power).
        • Check for open/short - circuit due to faulty connection, damage, or foreign substance.
        G15714988Courtesy of KIA MOTORS AMERICA, INC.
      3. Check the motor connector.
        • Terminal Expansion and damage
        G15714989Courtesy of KIA MOTORS AMERICA, INC.
        NOTE:
        • Must be replaced the MDPS motor if occur terminal expansion and damage.
      4. Check the motor wiring.
        G15714990Courtesy of KIA MOTORS AMERICA, INC.
        NOTE:
        • Must be replaced the MDPS motor if occur damage or problem.
      5. Remove the grommet (A) and then check the wiring on the TAS side (B) and ECU side (C).
        • Check for damage, push-back, or improper connection in each connector and wiring.
      G15714991Courtesy of KIA MOTORS AMERICA, INC.
      NOTE: Must be replaced the MDPS assembly if occur damage or problem.
      Check the TAS wiring in case of C1259/C1290 DTC.

      2 - 2 Inspection Items per DTC 

    DTC Problem First analysis method How to repair
    C1290 Torque sensor signal error First erase DTC, check connector connection. In case of reoccurrence, replace column & housing.
    C1112 Torque sensor voltage error Check connector between torque sensor and ECU. In case of reoccurrence, replace ECU.
    C1705 ECU hardware error First erase DTC and then check, check ECU connector.
    C1604 ECU over/discharge error
    C2413 ECU hardware error
    C2400 Motor signal error In case of reoccurrence, replace motor.
    C2401 Motor circuit error
    C2412 Motor voltage supply error First erase DTC and check, Check ECU/motor connector. First replace ECU. In case of reoccurrence, replace motor.
    C1259 Angle sensor signal error After Resetting zero point & erasing DTC, check connector connection condition. In case of reoccurrence, replace column & Housing.
    C1261 Zero-setting error After Resetting zero point, recheck. Reset the zero-setting.
    C1102 Battery voltage problem Check battery voltage condition. Recharge battery voltage.
    C1696, C1697 SPAS signal error Check SPAS. Erase DTC (MDPS is not to be replaced).
    C1612, C1646 TCU signal error Check TCU.
    C1628, C1656 Instrument cluster signal error Check instrument cluster.
    C1692, C1693 VSM signal error Check VSM.  
    C1260 Angle sensor signal error After resetting the angle, recheck. If C1259 does not occur, check CAN line. Reset Angle sensor. Erase DTC.
    C1611 CAN time out EMS
    1. Check G-SCAN condition.
    2. Check connector connection.
    3. Check ECU CAN line.
    4. Check MDPS ground line.
    Check the EMS CAN Line.
    C1616 CAN BUS OFF Check the chassis CAN Line.
    C1622 Vehicle speed signal error Check the EMS (Engine ECU).
    C1623, C1687, C1688 Can time out Steering angle sensor
    1. Check MDPS Power Connector & FUSE
    2. Check MDPS Ground line
    3. Check MDPS ECU/VSM CAN line
    4. Communication status with GDS/KDS
    In case of reoccurrence, replace ECU (Heavy steering and no communication)
  3. MDPS Performance Inspection 
    1. Inspect steering angle and DTCs relevant to the steering system.
    2. Inspection for heavy steering effort
      1. Inspect tire pressure and width.
      2. Check DTCs relevant to the CAN communication error.
      3. Check the wheel alignment.
  4. MDPS common problems 
    Case 1 Case 2 Case 3
    G15714992Courtesy of KIA MOTORS AMERICA, INC.
    G15714993Courtesy of KIA MOTORS AMERICA, INC.
    G15714994Courtesy of KIA MOTORS AMERICA, INC.
    Steering shaft noise Clock spring noise DAB/Wire noise
    Replace steering shaft Replace clock spring Rearrange and replace DAB
    Case 4 Case 5 Case 6
    G15714995Courtesy of KIA MOTORS AMERICA, INC.
    G15714996Courtesy of KIA MOTORS AMERICA, INC.
    G15714997Courtesy of KIA MOTORS AMERICA, INC.
    Multifunction switch noise MB nut mount defect M10 nut mount defect
    Replace multifunction switch Retighten nut Retighten nut
    Case 7 Case 8
    G15714998Courtesy of KIA MOTORS AMERICA, INC.
    G15714999Courtesy of KIA MOTORS AMERICA, INC.
    Cowl top bolt mount defect Cowl bar nut mount defect
    Retighten cowl top bolt Replace clock spring
    CAUTION: Cautions to be taken when handling the MDPS (Motor Driven Power Steering)
    • Failure occurs due to internal damage because of the drop of and shock and excessive external force on the new partial component.

      → Be cautious of shock on the partial component and replace the damaged part (due to drop, etc.) with a new one.

    • When fastening the steering, excessive impact may result in twisting the center point of the torque sensor.
    • When removing/installing the connector the wiring may be damaged (deformed) by excessive external force.
    • Be cautious when storing and replacing the partial components under the abnormal temperature and humidity conditions.