LEMON Manuals: Even more car manuals for everyone: 1960-2025
Home >> Land Rover >> 2003 >> Freelander S >> Repair and Diagnosis (Single Page) >> Engine Performance >> System >> On-Board Diagnostics - Siemens Ms43 Engine Management System >> Onboard Monitoring >> 4.4 Fuel System Monitoring >> 4.4.2 Monitoring Structure
April 5, 2026: LEMON Manuals is launched! Read the announcement.

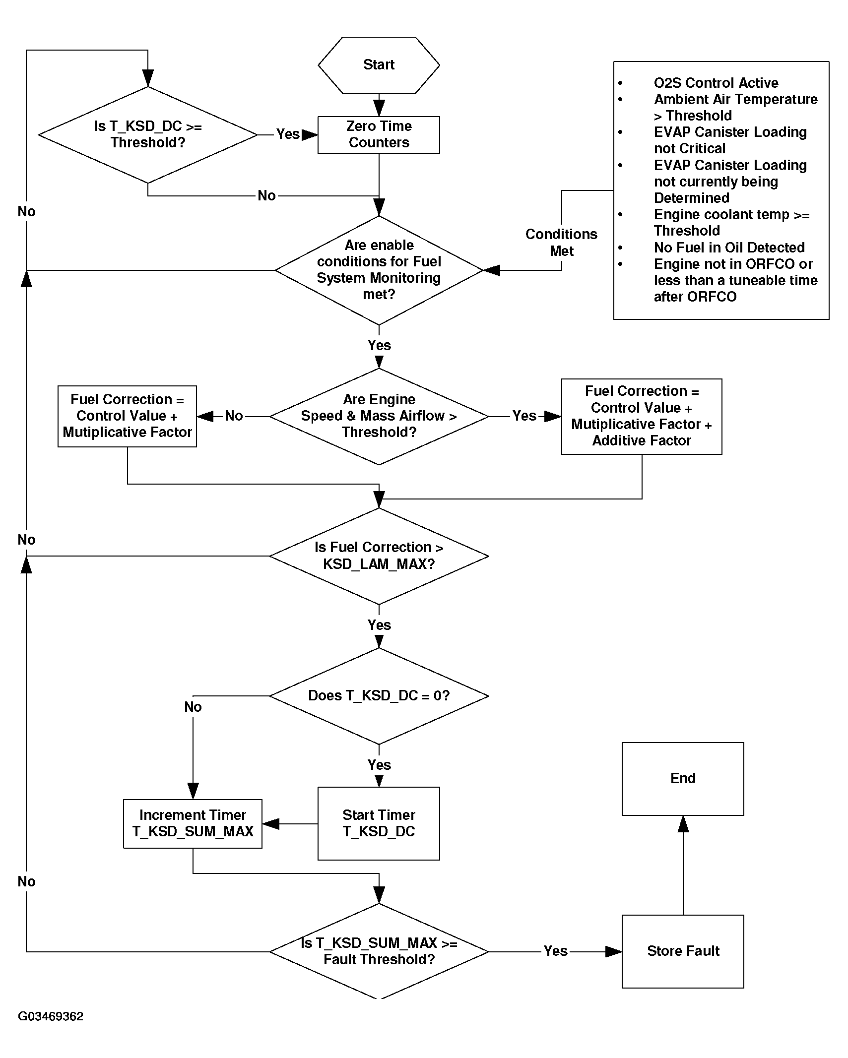
4.4.2 Monitoring Structure

Fig 1: Monitoring Structure
G03469362Courtesy of LAND ROVER NORTH AMERICA, INC.
Fuel System Monitoring

Component/System Fault Codes Monitoring Strategy Description Malfunction Criteria Threshold value Secondary Parameter Enable Conditions Time Required MIL Illumination
Fuel System Monitoring  P0171/2
P0174/5
Short term monitor Enrichment factor >28% OR < -28% Lambda control Active 60 s two driving cycles
Long term monitor Fuelling correction
Rich
Lean
> 17% for a cumulative time "GREATER THAN EQUAL TO" 85 s
OR < -20% for a cumulative time -20 s
Lambda control Ambient temp. Can. loading check Charcoal can load factor Load dependent purge correction factor
ECT
Fuel in Oil
Engine state
Active "GREATER THAN EQUAL TO" -5°C Not in progress > 0.852 > -15.0% > 60 °C
Not detected
Not in ORFCO or > 1.5 s since ORFCO
20 to 85 s /continuous
P2096/7
P2098/9
Lambda trim control Lambda trim correction OR > 0.300 s
< - 0.300s
EVAP canister load factor EVAP Canister Purge functional check Not critical Not in progress 11 s /continuous

If the above table does not include details of the following enabling conditions: - IAT, ECT, vehicle speed range, and time after engine start-up then the state of these parameters has no influence upon the execution of the monitor.