LEMON Manuals: Even more car manuals for everyone: 1960-2025
Home >> Lexus >> 1996 >> LS 400 >> Repair and Diagnosis (Single Page) >> Electrical >> Gauges >> Instrument Panel >> System Testing >> Notes
April 5, 2026: LEMON Manuals is launched! Read the announcement.

System Testing: Notes

WARNING: To avoid electric shock when servicing instrument cluster, read SPECIAL WARNING under DESCRIPTION & OPERATION .
NOTE: Unless specified otherwise, use a DVOM with a minimum input impedance of 10-megohms. For electrical component locations, see ELECTRICAL COMPONENT LOCATIONS  under DESCRIPTION & OPERATION.

Identify symptom and perform corrective action as necessary. See SYSTEM TESTS INDEX & TROUBLE SHOOTING GUIDE TABLE .

SYSTEM TESTS INDEX & TROUBLE SHOOTING GUIDE

Component Symptom Action Or Fig. No.
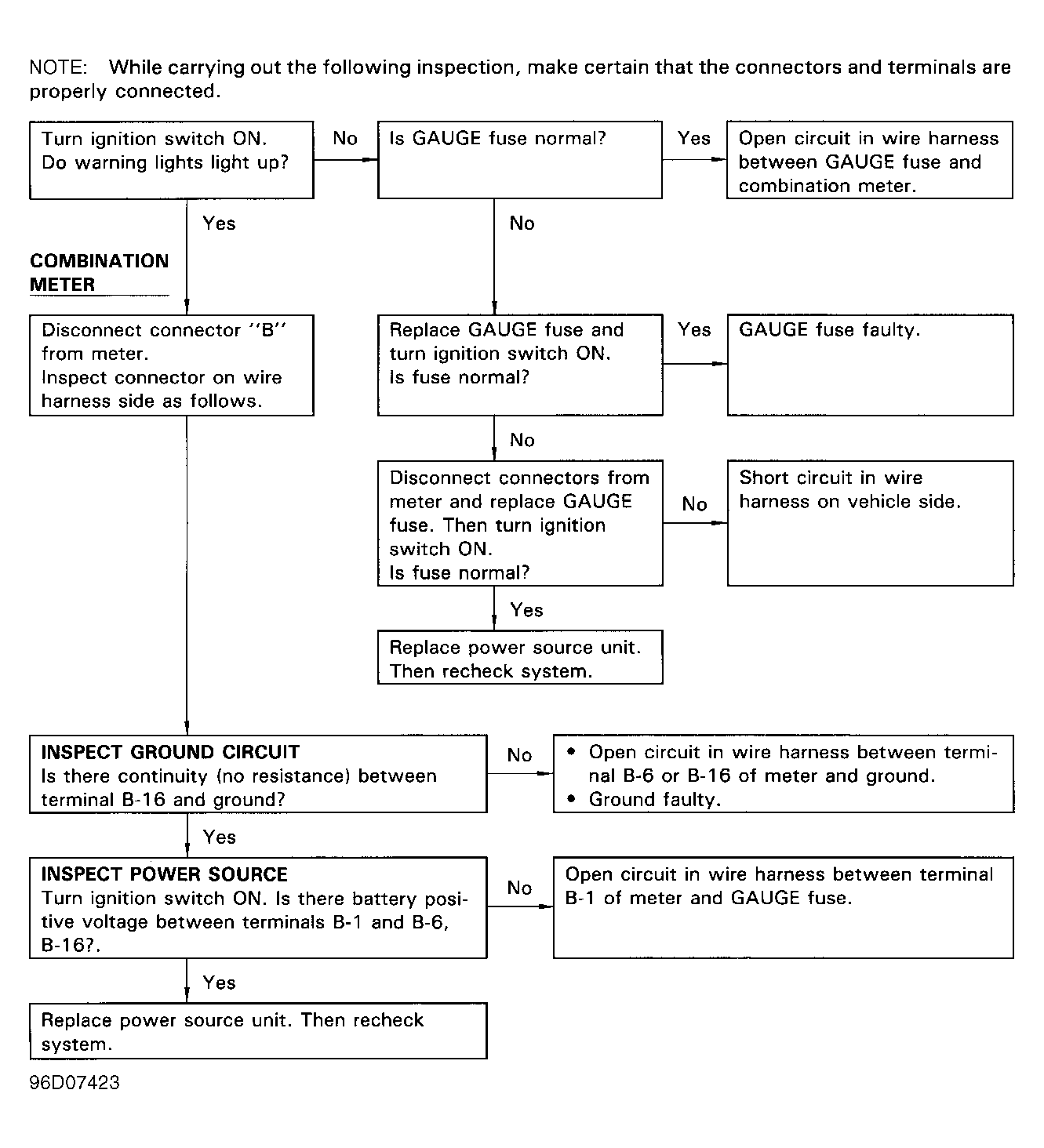
All Meters, Gauges & Lights No Display At All See Figure
4 Gauge Needles Do Not Illuminate Replace Power Source Unit
One Gauge Needles Do Not Illuminate Replace Gauge Unit
Character Plate Does Not Illuminate Replace Power Source Unit
Character Plate Illuminated On One Side See Figure
Twin Trip/ODO Meter Does Not Illuminate See Figure
Illumination Does Not Dim When Lights Are Turned On See Figure
Illumination Does Not Dim With Rheostat See Figure
Illumination Remains Dim Replace Power Source Unit
Does Not Go Out When Starter Is Operated See Figure
Speedometer Does Not Operate While Driving See Figure
Display Faulty Replace Speedometer
Tachometer Does Not Operate While Engine Is Running See Figure
Display Faulty Replace Tachometer
Fuel Gauge Does Not Operate Or Operation Is Abnormal See Figure
Fuel Level Warning Does Not Operate See Figure
Engine Coolant Temp. Gauge Does Not Operate Or Operation Is Abnormal See Figure
Twin Trip Meter Display Does Not Reset When Reset Switch Pressed See Figure
Display Is Reset While Driving, Switch Not Pressed See Figure
Display Does Not Change When Mode Switch Is Pressed See Figure
Display Does Not Alter During Driving See Figure
Abnormal Display Replace Trip Meter
Display Is Reset When Ignition Is Turned OFF See Figure
Odometer Odometer Does Not Operate While Driving See Figure
Engine Oil Level Warning Warning Light Does Not Operate See Figure
Warning Light Is Always On See Figure
HEIGHT Indicator Abnormal Operation Or Indicator Does Not Illuminate See Figure
PWR Indicator Abnormal Operation Or Indicator Does Not Illuminate See Figure
CRUISE MAIN Indicator Abnormal Operation Or Indicator Does Not Illuminate See Figure
OPEN DOOR Indicator Abnormal Operation Or Indicator Does Not Illuminate See Figure
Shift Position Indicator Abnormal Operation Or Indicator Does Not Illuminate See Figure
TRAC OFF Indicator Abnormal Operation Or Indicator Does Not Illuminate See Figure
ABS Warning Abnormal Operation Or Warning Does Not Illuminate See Figure
WASHER LEVEL Warning Abnormal Operation Or Warning Does Not Illuminate See Figure
SLIP Indicator Abnormal Operation Or Indicator Does Not Illuminate See Figure
SEAT BELT Warning Abnormal Operation Or Warning Does Not Illuminate See Figure
MALFUNCTION Indicator Abnormal Operation Or Indicator Does Not Illuminate See Figure
REAR LIGHTS Warning Abnormal Operation Or Warning Does Not Illuminate See Figure
LOW OIL PRESS. Warning Abnormal Operation Or Warning Does Not Illuminate See Figure
SRS Warning Abnormal Operation Or Warning Does Not Illuminate See Figure
DISCHARGE Warning Abnormal Operation Or Warning Does Not Illuminate See Figure
Hi-Beam Indicator Abnormal Operation Or Indicator Does Not Illuminate See Figure
Turn Signal Indicator Abnormal Operation Or Indicator Does Not Illuminate See Figure
Brake Pad Warning Warning Light Always Illuminated See Figure
BRAKE Warning Abnormal Operation Or Warning Does Not Illuminate See Figure
HEADLIGHT Indicator Abnormal Operation Or Indicator Does Not Illuminate See Figure