LEMON Manuals: Even more car manuals for everyone: 1960-2025
Home >> Lincoln >> 2012 >> MKZ AWD V6-3.5L >> Repair and Diagnosis >> Application and ID >> Identification Codes
April 5, 2026: LEMON Manuals is launched! Read the announcement.

Identification Codes




Identification Codes

Vehicle Identification Number (VIN)

Vehicle Identification Number (VIN) Tag Locator





The Vehicle Identification Number (VIN) is a 17-digit combination of letters and numbers. The VIN (Vehicle Identification Number) is stamped on a metal tab riveted on the instrument panel, top upper left of the dash. The VIN (Vehicle Identification Number) is also found on the Vehicle Certification (VC) label.

If the VIN (Vehicle Identification Number) plate requires replacement, authorized dealers must contact their respective regional office.










World Manufacturer Identifier (WMI)

The first 3 VIN (Vehicle Identification Number) positions are the World Manufacturer Identifier (WMI).

- 3FA- Ford, Mexico, passenger car

- 3LN- Lincoln, Mexico, passenger car

Restraint System Type

The fourth VIN (Vehicle Identification Number) position identifies the vehicle restraint system used.

- D- Active safety belts, all positions with driver, front passenger air bags and driver side knee bolster

- H- Active safety belts, all positions, driver and front passenger air bags and driver and front passenger side impact air bags

Vehicle Line and Series Type

VIN (Vehicle Identification Number) positions 5 through 7 indicate the vehicle line and series type.

- L2G- Lincoln, Front Wheel Drive (FWD)

- L2J- Lincoln, All-Wheel Drive (AWD)

- L2L- Lincoln, Hybrid FWD (Front Wheel Drive)

- P0C- Ford, SEL, AWD (All-Wheel Drive)

- P0D- Ford, Sport, AWD (All-Wheel Drive)

- P0G- Ford, S, FWD (Front Wheel Drive)

- P0H- Ford, SE, FWD (Front Wheel Drive)

- P0J- Ford, SEL, FWD (Front Wheel Drive)

- P0K- Ford, SE Sport, FWD (Front Wheel Drive)

- P0L- Ford, Hybrid SEL, FWD (Front Wheel Drive)

Engine Type

The eighth VIN (Vehicle Identification Number) position is the engine type (displacement and number of cylinders).

- 3- ATK-CVC, 2.5L, 4-valve Gas/Electric (Hybrid)

- A- 2.5L, Dual Overhead Camshaft (DOHC) , 4-cylinder, Duratec

- C- 3.5L, DOHC (Dual Overhead Camshaft) , V6

- G- 3.0L, Overhead Camshaft (OHC) , V6, Duratec

More specific engine information can be found on the engine tag. For additional information, refer to Engine.

Check Digit

The ninth VIN (Vehicle Identification Number) position is a government-assigned, computer-generated check digit.

Model Year

The tenth VIN (Vehicle Identification Number) position is the model year code.

- C- 2012

Assembly Plant

The eleventh VIN (Vehicle Identification Number) position is the assembly plant code.

- R- Hermosillo Assembly (Hermosillo, Mexico)

Build Sequence

VIN (Vehicle Identification Number) positions 12 through 17 are an alphanumeric code for the vehicle build sequence. This is also the vehicle serial and warranty number. These 6 characters are also found on the engine block and transmission.

- 100001-599999- Ford

- 600001-999999- Lincoln

Vehicle Certification (VC) Codes

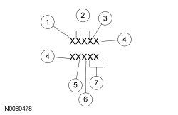
Vehicle Certification (VC) Label Locator





The upper portion of the Vehicle Certification (VC) label contains the manufacturer's name, the month and year of manufacture, the certification statement and the Vehicle Identification Number (VIN). It also includes Gross Vehicle Weight Rating (GVWR). The VC (Vehicle Certification) label is located on the LH door jamb.

If a vehicle requires replacement of the VC (Vehicle Certification) label and is 4 years old or less, an authorized dealer must submit the VIN (Vehicle Identification Number) to their respective regional office. The regional office will submit a web form to the assembly plant for the replacement label. Once the label has been printed, a representative from the regional office will deliver the label to the dealer and witness installation on the vehicle. If a vehicle is more than 4 years old and requires a replacement label, the dealer must submit a request to the Department of Motor Vehicles.










Exterior Paint

Exterior paint codes may be listed as a 2-part code. The first set of characters identify the primary body color. The second set of characters (if applicable) identify the vehicle accent or 2-tone body color. All colors are base coat/clear coat.

Exterior Color Codes

- HT- Cinnamon

- JY- Ginger Ale

- JZ- Crystal Champagne

- R2- Red Candy Tint

- SZ- Blue Flame

- UA- Ebony

- UG- White Platinum (tri-coat)

- UJ- Sterling Gray Metallic

- UN- Steel Blue

- UX- Ingot Silver Metallic

- WS- White Suede (tri-coat)

Interior Trim

Interior trim codes are listed as a 2-part code. The first character identifies the interior trim type. The second character identifies the interior trim color.

Interior Trim Type

- A- Perforated leather/SOHO grain leather, Ford

- C- F-appearance cloth, Ford

- D- B-cloth, Ford

- F- Verona leather, Ford

- L- Hero perforated leather, Lincoln

- M- Perforated leather, Lincoln

- T- E-cloth, Ford

- V- Variation perforated leather, Ford

- Z- Premium perforated leather, Lincoln

Interior Trim Color

- B- Blue, Ford

- C- Camel, Ford

- G- Ginger, Ford

- H- Cashmere, Lincoln

- L- Medium Light Stone, Ford

- R- Red, Ford

- S- Light Camel, Lincoln

- W- Charcoal Black, Ford/Lincoln

Tape/Paint Stripe

Tape and paint stripe codes do not apply.

Radio Type

Radio type codes are as follows:

- B- AM/FM stereo, in-dash 6-disc CD changer, MP3 and clock

- F- AM/FM stereo, CD player, MP3 and clock

- N- AM/FM stereo, in-dash single disc CD changer with navigation system

Axle Ratio Codes

The axle ratios are:

- 25- 2.57- Ford

- 30- 3.06- Ford

- 32- 3.21- Ford

- 33- 3.33- Ford, Lincoln

- 43- 4.39- Ford

Transmission Type

Transmission type codes are as follows:

- 6- 6-speed manual transmission (Mazda G6M)- Ford

- B- 6-speed automatic transmission (Aisin F21)- Ford, Lincoln

- H- Continuously Variable Transaxle (CVT)- Ford Hybrid, Lincoln Hybrid

- W- 6-speed automatic transmission (6F)- Ford

Refer to the transmission tag information.

Spring Code

Spring codes are listed as a 2-part code. The first 2 characters identify the front springs. Characters 3 and 4 identify the rear springs. Front spring base part number is 5310, rear spring base part number is 5560.

Powertrain Calibration Information





NOTE: Powertrain calibration information is limited to a maximum of 5 characters per line on the Vehicle Certification (VC) label. Because of this, calibration identification consisting of more than 5 characters will wrap to the second line on the VC (Vehicle Certification) label.

Powertrain calibration information is printed in the lower right corner of the VC (Vehicle Certification) label. Only base calibration information is printed. Revision levels will not appear, however, they can be obtained through a scan tool using the most current software revision.

Powertrain Calibration Information










Model Year

- 7- 2007

- 8- 2008

- 9- 2009

- A- 2010

- B- 2011

- C- 2012

Vehicle Line

- DE- Ford, Lincoln

Transmission

- 1- Automatic transmission

- 2- Manual transmission

Unique Calibration

The Emissions/Corporate Average Fuel Economy/Carbon Dioxide Compliance Department is responsible for assigning these calibration numbers. Unique calibration identifications are assigned to cover similar vehicles to differentiate tires, drive configurations, final drive ratios and other calibration-significant factors.

These 2 characters are chosen by the analyst to provide identifiable information unique to each calibration. For example, using the number 2 to denote a 2-valve engine versus using the number 4 to denote a 4-valve engine, offers an easily identifiable difference.

Fleet Code

- 0- Certification (U.S. 4K, final sale in export markets)

- 1- Heavy duty gas engine/Dyno

- 2- Fast-Automobile Manufacturers' Association, U.S.

- 3- Alternative Durability Protocol, U.S.

- 4- Not assigned

- 5- Not assigned

- 6- Evaporative Emission (EVAP)

- 7- Mileage accumulation, aging endurance durability

- 8- On-Board Diagnostic (OBD)

- 9- Not assigned

Certification Region

- 5- U.S. 50 states

- A- U.S. federal, including altitude, may include Canada and/or Mexico

- B- U.S. California, includes U.S. green states

- C- Canada

- D- China

- E- European Community (Austria, Belgium, Denmark, Finland, France, Germany, Greece, Ireland, Italy, Luxembourg, Netherlands, Portugal, Spain, Sweden, United Kingdom)

- F- Extended European Community (E plus Croatia, Czech Republic, Estonia, Hungary, Norway, Poland, Romania, Russian Federation, Slovakia, Slovenia, Switzerland, Yugoslavia)

- G- Gulf Cooperative Council (Bahrain, Kuwait, Oman, Qatar, Saudi Arabia, United Arab Emirates)

- H- Hong Kong

- J- Japan

- K- Korea

- L- Malaysia

- M- Mexico

- N- New Zealand

- P- Australia

- Q- South America (Brazil)

- S- Singapore

- T- Taiwan

- U- South America (unleaded fuel)

- V- Vietnam

- X- Rest Of World (ROW)

- Y- Military

- Z- Israel

Revision Level (not printed on label)

- 91-99- Hardware calibration levels

- 01-04- Preliminary levels

- 00- Job 1 production (initial calibration)

- 05-09- Pre-job 1 revisions to calibrations

- 10-89- Post-job 1 revisions to calibrations

- 0B- Durability test level

- BD- OBD (On-Board Diagnostic) intermediate level (pre-05)