LEMON Manuals: Even more car manuals for everyone: 1960-2025
Home >> Mazda >> 2000 >> MPV ES V6-2.5L DOHC >> Repair and Diagnosis >> Accessories and Optional Equipment >> Antitheft and Alarm Systems >> Keyless Entry >> Keyless Entry Module >> Testing and Inspection >> Programming and Relearning
April 5, 2026: LEMON Manuals is launched! Read the announcement.

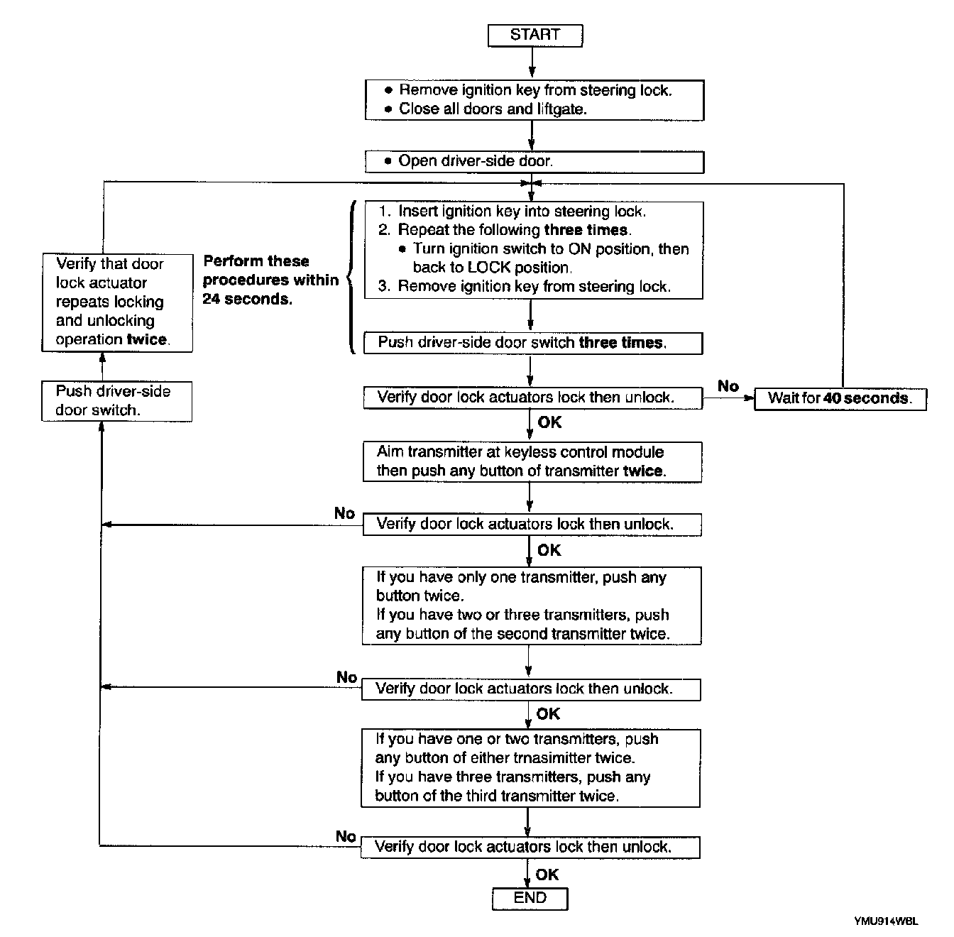
Programming and Relearning

- When programming the ID code into the keyless control module, verify that other transmitters are not being operated in the vicinity.




- Program the ID code as indicated in the procedure.