LEMON Manuals: Even more car manuals for everyone: 1960-2025
Home >> Mazda >> 2002 >> Tribute ES, 4WD >> Repair and Diagnosis >> External Pages >> Different car >> Section 249 (Instrumentation/Driver Info) >> Instrument Cluster Input/Output Check Mode >> Check Code Table
April 5, 2026: LEMON Manuals is launched! Read the announcement.

Check Code Table

WARNING: This page is about a different car, the 2004 Mazda RX-8. However, it is still accessible from the selected car via links, so may be relevant.
Fig 1: Check Code Table
G01344761Courtesy of MAZDA MOTORS CORP.
NOTE:
  • Check codes which are not listed may be indicated, but they cannot be inspected.
  • The check codes are displayed in numerical order. (While performing the inspection, if you want to inspect a check code with a number smaller than the code number you are currently inspecting, terminate the check mode then repeat the inspection from the beginning.)
  • If a speed signal is input to the instrument cluster (the wheels are rotated) while a code other than check code 50 or 51 is displayed, the input/output check mode will be cancelled.
  • The check codes can be fast-forwarded by pushing and holding the odometer/tripmeter switch for 1 s or more. 
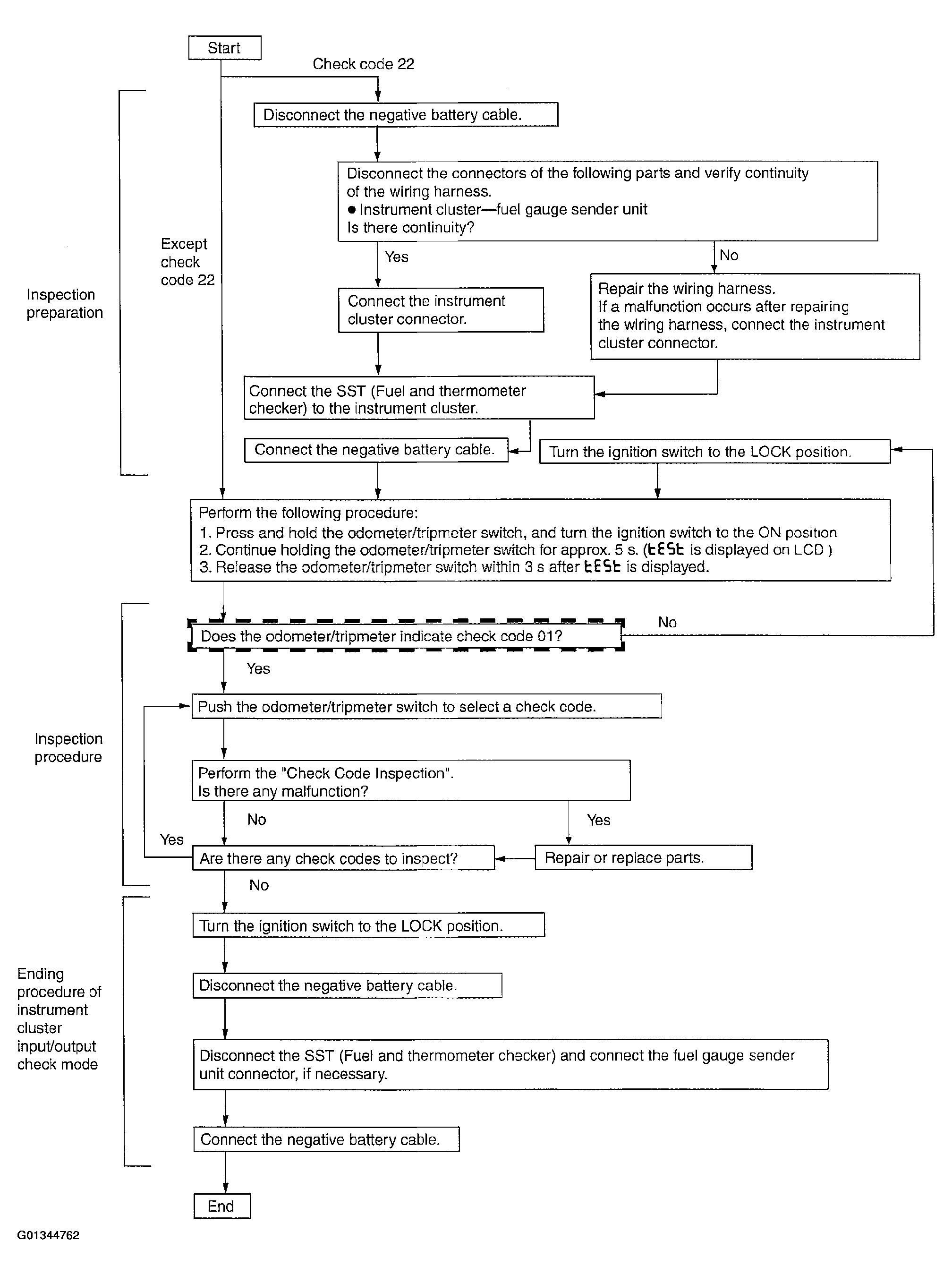
Fig 2: Inspecting Check Code Chart
G01344762Courtesy of MAZDA MOTORS CORP.

Revised 11/2003 (Ref. No. R043/03)